Периодическими несинусоидальными величинами называются переменные, изменяющиеся во времени по периодическому несинусоидальному закону. Причины возникновения несинусоидальных напряжений и токов могут быть обусловлены или несинусоидальностью источника питания или (и) наличием в цепи хотя бы одного нелинейного элемента. Кроме того, в основе появления несинусоидальных токов могут лежать элементы с периодически изменяющимися параметрами.
В качестве примера на рис. 1,а представлена цепь с нелинейным резистором (НР), нелинейная вольт-амперная характеристика (ВАХ) которого обусловливает несинусоидальную форму тока i в цепи при синусоидальном напряжении u на ее входе (см. рис. 1,б).

Возможность разложения периодических несинусоидальных функций в ряд Фурье позволяет свести расчет линейной цепи при воздействии на нее несинусоидальных ЭДС (или токов) источников к расчету цепей с постоянными и синусоидальными токами в отдельности для каждой гармоники. Мгновенные значения искомых токов и напряжений определяются на основе принципа наложения путем суммирования найденных при расчете гармонических составляющих напряжений и токов. В соответствии с вышесказанным цепь на рис. 5 при воздействии на нее ЭДС

(при расчете спектр рассматриваемых гармоник ограничивается) в расчетном плане представляется суммой цепей на рис. 6.

Здесь
.
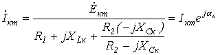
Тогда, например, для тока в ветви с источником ЭДС, имеем
,
где каждая к-я гармоника тока рассчитывается символическим методом по своей к-й расчетной схеме. При этом (поверхностный эффект не учитывается) для всех гармоник параметры
и С постоянны.
;
.
Необходимо помнить, что ввиду различия частот суммировать комплексы различных гармоник недопустимо.
Таким образом, методика расчета линейных цепей при несинусоидальных токах сводится к следующему:
- ЭДС и токи источников раскладываются в ряды Фурье.
- Осуществляется расчет цепи в отдельности для каждой гармонической.
- Искомые величины определяются как алгебраические суммы соответствующих гармонических.
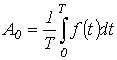
Из математики известно, что всякая периодическая функция
, где Т – период, удовлетворяющая условиям Дирихле, может быть разложена в тригонометрический ряд. Можно отметить, что функции, рассматриваемые в электротехнике, этим условиям удовлетворяют, в связи с чем проверку на их выполнение проводить не нужно.
При разложении в ряд Фурье функция представляется следующим образом:
. | (1) |
Здесь
- постоянная составляющая или нулевая гармоника;
- первая (основная) гармоника, изменяющаяся с угловой частотой
, где Т – период несинусоидальной периодической функции.
В выражении (1)
, где коэффициенты
и
определяются по формулам
;
.
. 





