
.

.

.
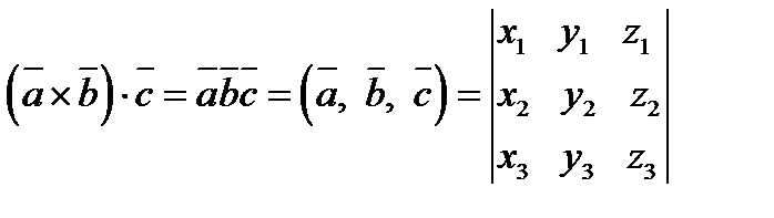
Умова компланарності трьох векторів

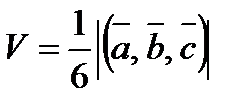
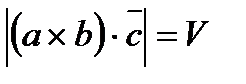
2) Обчислити висоту паралелепіпеда, побудованого на векторах
якщо в основі його лежать вектори
.
Розв¢язання.
.
.
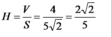
5) Знайти висоту Н трикутної піраміди, опущеної з вершини О, якщо її вершини А(3, 2, 1), В(4, 0, -1), С(2, -1, 0) і D(4, 2, 5).
Розв¢язання.
.
Знаходимо площу S основи АВС:

Висота піраміди:
.






