Вектори і дії над ними
1) 
|
|
| А |
| В |
2).
, 
|
|
|
3).
;
,
, 
4).
,
,
5).
|
|
|
| В |
|
| А |
| С |
| В |
| О |
| А |
| С |
|
|
|
|
|
|
|
|
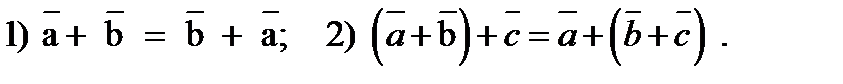
6). Закони додавання:

Протилежні вектори:
,
,
,
.
Віднімання векторів:
: 
| О |
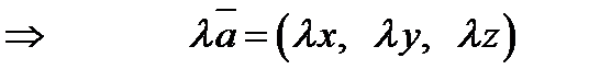
Множення вектора на скаляр.

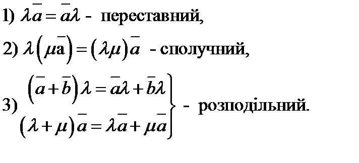
Закони множення вектора на скаляр:

8). Колінеарні вектори.
,
9). Компланарні вектори.
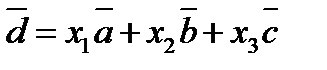
Розклад вектора по трьом не компланарним векторам
,
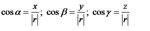
Ортогональний базис
,
,
| Z |
| 0 |
| X |
| У |
|
|
|
|
|
|
| А(x,o,o) |
| С(о,о,z) |
| М |
| В(o,y,o) |
. 


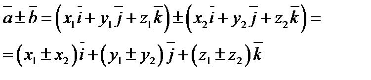
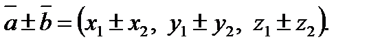
Лінійні операції над векторами в координатній формі.
1.
. 

2.
,

3. 

4. 
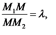
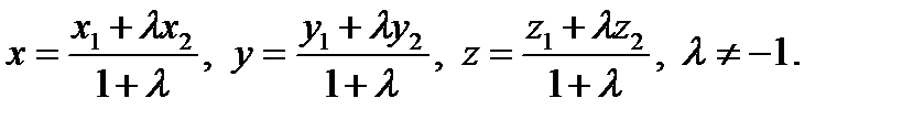
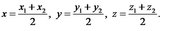
5. Поділ відрізка в заданому відношенні: 



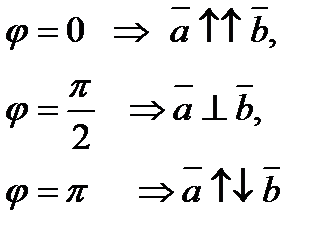
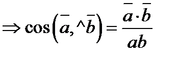
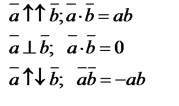
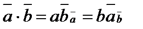
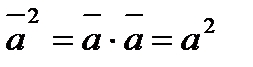
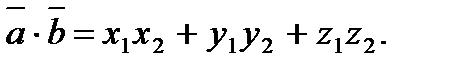
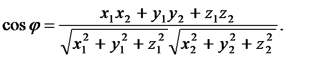
Скалярний добуток двох векторів.




Проекція вектора на вектор


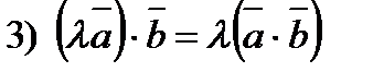
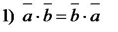
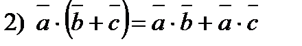
Закони скалярного добутку:
- переставний,
- розподільчий,
- сполучний


Таблиця скалярного добутку ортів:
·

1 0 0
0 1 0
0 0 1
.



Приклади:
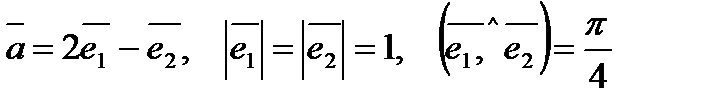
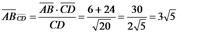
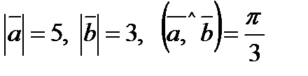
1) Задано точки А(3, 1, 0), В(0, -2, 6), С(3, -2, 0) і D(1, -2, 4). Обчислити проекцію
на
.
Розв ¢язання.
.
.
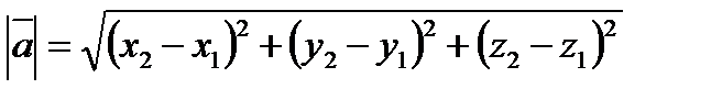
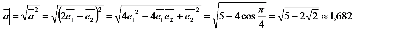
2) Знайти модуль вектора

Розв¢язання.
.
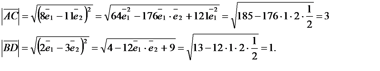
3) Обчислити довжину діагоналей паралелограма ABCD, якщо

Розв¢язання.
|
|
|


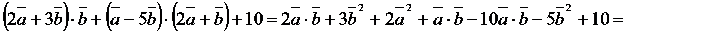
4) Обчислити:
, якщо
.
Розв¢язання.








