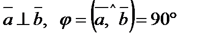
,
1) модуль 
, коли 
2) вектор
;
3) напрям вектора
такий, щo …
Геометричні властивості векторного добутку.
1. 
2.
.
3. 
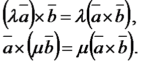
Алгебраїчні властивості векторного добутку.
1.
.

3.

Таблиця векторних добутків ортів.

| | | |
| | | - |
| - | | |
| | - | |
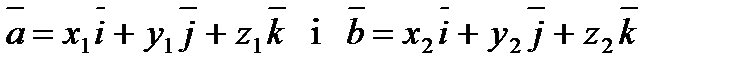
Вираз векторного добутку через координати векторів.


,
Приклади.
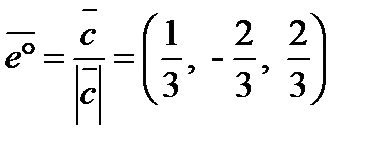
1) Знайти орт, перпендикулярний до вектора
.
Розв¢язання.
.

.
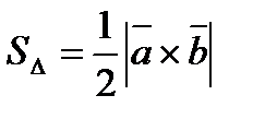
2) Знайти площу трикутника з вершинами А(4, -1, 2), В(-8, 0, 4), С(8, 2, 3).
Розв¢язання.
.
.
.
.
.
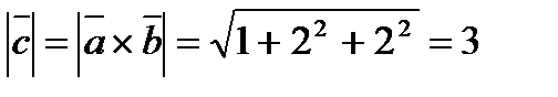
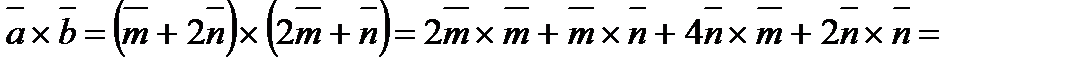
5) Знайти площу паралелограма, побудованого на векторах
, якщо
.
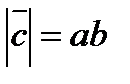
Розв¢язання.
.


s = .






