При составлении сетевых моделей необходимо пользоваться следующими основными правилами:
Правило I. Если работы А, В, С выполняются последовательно, то на схеме они изображается так:
А В С

Рисунок 5
Правило 2. Если для выполнения работ А и В необходим результат работы С, то на схеме это изображается так:

Рисунок 6
Правило 3. Если для заполнения работы С необходим результат работ 4 и 3, то на схеме это изображается так:

Рисунок 7
Правило 4. Если в процессе выполнения работы начинается работа В, использующая результат некоторой части работы А, то работа А разбивается на две:
А1 - работа от начала до выдачи промежуточного результата, т.е. до начала работы В, и А2 - оставшаяся часть работы А. На схеме это изображается так:

Рисунок 8
Правило 5. Если работы А1, А2,.... Аn начинаются и кончаются одними и теми же событиями, то для установления взаимооднозначного соответствия между этими работами и кодами необходимо ввести п-1 фиктивных работ. Они не имеют продолжительности во времени и вводятся в данном случае лишь для того, чтобы работы А1, А2,.... Аn имели разные коды. На схеме этот случай изобразится так:
|
|
|

Рисунок 9
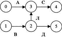
Правило 6. Если работа С следует за двумя параллельно ведущимися работами А и 3, а работа Д следует только за работой В, то такая ситуация изобразится на схеме путем введения фиктивной работы Л:

Рисунок 10
Правило 7. Если не должно быть событий, в которые не входит ни одной работы, кроме исходного события. Если это правило нарушено и в сети, кроме исходного, появилось еще одно событие, в которое не входит ни одна работа - это означает либо ошибку при построении сетевого графика, либо упущение при планировании работы, результат которой необходим в дальнейшем (см. рис. 11, событие 3 и работа Г).

Рисунок 11
Правило 8. В сети не должно быть событий, из которых не выходит ни одной работы, кроме завершающего события. Если это правило нарушено и в сети, кроме
завершающего, появилось еще одно событие, из которого не выходит ни одной работы, это означает либо ошибку при построении сетевого графика, либо планирование ненужной работы Б (рис 12) результат которой ничего не интегрирует

Рисунок 12
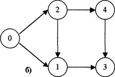
Правило 9. События следует нумеровать так, чтобы номер начального события данной работы был меньше номера конечного события этой работы,
|
|






