Задача 1
Получить уравнение касательной.
* Касательной называется прямая к которой стремится секущая при стремлении второй точки секущей к первой.
![]() |
y
![]() |
(x1)

(x0)
α+π/2
α
x0 x1 x
* Производная функции равна тангенсу угла наклона касательной к графику функции.
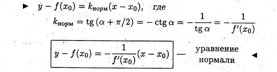
Задача 2
Получить уравнение нормали.
* Нормалью называется прямая, проходящая через точку касания перпендикулярно касательной.

Пример 3. Найти уравнение касательной и нормали для

Задача 3
Показать, что если производная положительна, то функция возрастает, а если отрицательна, то убывает.









