Дифференциальное исчисление
Лекция 18. Производная, её геометрический и механический смысл
Важнейшим понятием математического анализа является производная, которая определяет скорость изменения функции.
* Производной функции f(x) в точке x0 называется предел отношения приращения функции к приращению аргумента, при стремлении последнего к нулю

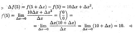
Пример 1. Вычислить производную функции f(x) =х2 в точке x = 5.

Производная справа и слева
![]() |
Правой (левой) производной функции f(x) в точке x 0 называется предел справа (слева) отношения приращения функции к приращению аргумента при стремлении последнего к нулю
Пример 2. Вычислить производную функции f(x)= | x-1 | в точке x=1
![]() | ![]() | ||
Решение: y

X

