* Функция f(x) называется дифференцируемой в точке x0, если она имеет производную в этой точке.
Вопрос: Является ли непрерывной дифференцируемая функция?
Ответ: Да, поскольку для существования предела, определяющего производную, необходимо Δ f (x0) —> 0 при Δ х —> 0.
Задача 5
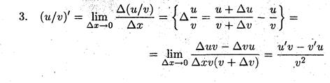
Показать, что производные суммы, произведения и частного двух дифференцируемых функций определяются следующими формулами:








