Также как при умножении чисел используют не определение действия умножения, а таблицу умножения, так и при вычислении производных используют не определение производной, а таблицу производных.
Задача 1
Показать, что производная сложной функции равна произведению производных составляющих функций, т.е.

Задача2
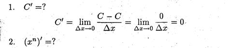
Используя, определение производной, вычислить производные элементарных функций.

· Доказательство проведено методом математической индукции.
![]() |
![]() |
Пусть обе функции: прямая y=y(x) и обратная x=x(y) непрерывны и дифференцируемы на отрезке
тогда
x
=
=
=
= 
Итак,
x
= 
Продолжение задачи 2.
8.
, 
Пусть y=arcsinx, тогда x=siny
= 
Аналогично получим, что 
9. 





