Проблема обеспечения долговременного экономического роста, i оторый играет ключевую роль в процветании или упадке соответствующей державы, занимала центральное место уже в теориях меркан-шдистов.
Английская классическая школа не имела отдельной специали-■прованной теории экономического роста. Однако она занималась Ф ксгорами роста национального богатства и его соотношением с распределением дохода. Вопрос о том, чем определяется прирост национального богатства, фактически подразумевается в самом заглавии i ушного экономического труда Смита: «Исследование о природе и причинах богатства народов». Главный вывод классиков сводился к 11)му, что прирост богатства определяется величиной факторов про-и шодства и их производительностью. (Наиболее подробно этот круг копросов освещен в I книге «Основ политической экономии» Л* Ст. Милля, где сначала рассматриваются все факторы произвол-i та, затем причины их роста и, наконец, динамика их. производи-и [(ьности.) Поскольку предполагалось, что величина естественных
|
|
|
факторов производства: труда и земли - в значительной степени не зависит от человеческих усилий, то в качестве основы экономического роста рассматривалось накопление — инвестирование части общественного продукта, которое приводит к возрастанию капитала. Отсюда большое значение, придаваемое «бережливости» английскими классиками, начиная со Смита.
Поскольку основные накопления в то время производились из ■ прибыли капиталистов (наемные рабочие в силу недостаточных доходов, а земельные собственники в силу «потребительской» мотив> ции сберегали и инвестировали значительно меньше), то особое значение для экономического роста приобретала норма прибыли, а также распределение дохода, благоприятствующее капиталистам.
Что же касается самой нормы прибыли, то классики считали неизбежным ее падение в долгосрочном аспекте. Причиной такого неблагоприятного прогноза был так называемый «закон убывающего j плодородия почвы» (см. гл. 4). По мере роста населения и необходимого расширения пахотных площадей убывающее плодородие долж-j но было привести к относительному увеличению ренты и сокращен нию прибыли, что должно было в итоге привести к падению накоп| ления и прекращению экономического роста. Эта пессимистически точка зрения, отстаиваемая, в частности, Т. Мальтусом и Д. Рикардо! способствовала тому, что политическая экономия получила hmjj «мрачной науки» (dismal science).
Представители английской классической школы, очевидно, neJ дооценивали потенциал технического прогресса, который уже во upej мена Рикардо мог компенсировать убывание естественного плоде родия почвы.
|
|
|
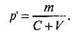
Весьма схожих с классической школой взглядов на долговремен! ные перспективы экономического роста при капитализме придержи] вался и Карл Маркс. Однако тенденцию нормы прибыли к пониже<| нию он связывал не с убыванием плодородия почвы, а с ростом отпе шения постоянного капитала (С), вложенного в средства произвол^ ства, к переменному капиталу (К), вложенному в рабочую силу, коте рое он называл «органическим строением капитала*1.
Норма прибыли равна, по Марксу, отношению прибавочной ctoJ имости (т), созданной неоплаченным трудом рабочих, к величии^ авансированного капитала:

' Маркс К., Энгельс Ф. Соч. 2-е изд. Т. 26.
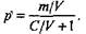
Разделив числитель и знаменатель на V, получим:

Таким образом, чем больше органическое строение капитала, тем меньше норма прибыли, (Показатель т/У - так называемая «норма ■жеплуатации» — принимается за неизменную величину при равно-151-сии сил рабочего класса и буржуазии.)
Далее Маркс приходит к выводу, что с развитием капиталистического способа производства происходит относительное уменьшение переменного капитала по сравнению с постоянным капиталом, т.е. номрастание С/У1. Причиной этой тенденции он считает технический прогресс, который, в свою очередь, объясняется желанием капиталистов получить добавочную прибавочную стоимость за счет того, что их издержки производства будут меньше нормальных для данной отрасли1. Очевидно, что Маркс исходит из предпосылки, согласно которой панический прогресс может быть только трудо-, но не капиталосбе-i ругающим, т.е. не видит возможности компенсировать увеличение количества применяемых машин на одного работника их удешевлением. 1 Ит огом этой тенденции, которая прокладывает себе дорогу через многочисленные противодействующие факторы, является, по Марксу, то; что капиталистическое производство теряет стимул к дальнейшему росту, способ производства сам создает себе пределы4.
С победой маржиналистской революции в экономической теории возобладал статический равновесный подход, и интерес к про-Пмемам роста снизился. Предметом господствующего направления в экономической теории стало распределение уже созданных редких ресурсов между областями их применения. Кроме того, в период с 1S71 по 1914 г. экономический рост был для теоретиков скорее презумпцией, чем проблемой. На первый план и в теоретических дискуссиях, и в политических спорах в это время также выходит проблема не роста, а распределения (см. гл. 19).
В наибольшей степени из теоретиков маржинализма проблемами экономического роста занимался А. Маршалл. В подготовительных материалах, которые так и не вошли в «Принципы экономической науки», есть наброски теорий роста, разработанных отдельно для калового и чистого дохода страны. В число факторов роста валового дохода входят:
число и производительность работников;
См.: Маркс К., Энгельс Ф. Соч. 2-е изд. Т. 26. Ч. III. Гл. 13. 'Тамже.Т. 23. Гл. Ш. 4 Там же. Т. 26. Ч*. III. Гл. 13.
накопленное богатство (капитал);
естественные ресурсы с учетом удобства их местоположения, уровень техники;
«общественная безопасность», отражающая уверенность экономических агентов в том, что они получат заработанные доходы.
Рост чистого дохода, т.е. избытка валового дохода общества над его необходимыми тратами, зависит от:
готовности людей пожертвовать настоящим ради будущего;
крепости семейных связей (определяющей стимул к обеспечению будущих поколений);
нормы процента, определяющей стимулы к сбережению.
Естественно, все перечисленные факторы, в свою очередь, зависят от множества других причин. В результате теория становится слишком сложной, многофакторной и необозримой, что, видимо, ■ послужило причиной того, что Маршалл не включил ее в конечны вариант «Принципов...». В дальнейшем наибольшее развитие полу^ чили те теории роста, которые сосредоточивали внимание на узко) группе факторов и взаимосвязей, принимая прочие за равные.
|
|
|
Значительной попыткой динамизации экономической теорц| следует считать «Теорию экономического развития» и последующие' работы Й. Шумпетера, который связывал динамику экономики с предпринимательской деятельностью по осуществлению новых комбинаций (см. гл. 18). Однако в центре внимания Шумпетера был iii «количественный» экономический рост, а «качественное» экономи ческое развитие, и его теория с большим трудом поддавалась форма лизации и квантификации.
В период между двумя мировыми войнами, который озиамеис вался большими потрясениями в экономике развитых западных с экономическая теория вновь повернулась лицом к проблемам р Огромное значение имела «кейнсианская революция», в ходе i рой возникла цельная макроэкономическая теория, оперируг-агрегатными показателями и исследующая условия макроэкон ческого равновесия, в особенности условия равенства сбереже! инвестиций. В связи с открытиями Кеинса возник большой ин и к измерению динамики национального дохода и его составляй (работы С. Кузнеца). Однако сам Кейнс сосредоточил свое внич на краткосрочном анализе1. Начиная с этого момента, в историк
Как пишет известный историк экономической мысли Й.Ниханг влиянием «Общей теории» Кеинса внимание экономистов теоретике реключилось с динамического анализа роста на статический анализ С ботицы» (Niehans J. A. History of Economic Theory: Classic Contributions, 1980. Baltimore, London, 1990. P. 452).
Змической мысли можно выделить сменяющие друг друга периоды Преобладания краткосрочной теории цикла (1930-е, 1970-е годы) и сшгосрочной теории роста (1940—60-е, 1980-е годы). Легко заметить, То особое внимание к теориям цикла приходилось на периоды ярко выраженных циклических колебаний, тогда как теория роста выходила на первый план в периоды, когда экономическая динамика имела So'iee гладкую траекторию.
|
|
|






