В современной экономической теории под теорией экономический) роста имеется в виду формальная теория роста, возникшая как ||v (ультат распространения кейнсианства на долгосрочный (по Мар-].1ллу) период. Начало этой теории положили модели английского ||кономиста Роя Харрода и американца Евсея Домара.
РойХаррод (1900—1978) получил образование в Оксфордском уни-фситете (в числе его учителей был Эджуорт), где впоследствии преподавал большую часть своей жизни. Большое влияние оказало на шги знакомство с Дж.М. Кейнсом, переросшее в крепкую дружбу. После смерти Кейнса Харрод написал наиболее полную и содержа-i тельную его биографию6. В своих ранних микроэкономических про-Ишсдениях Харрод «воскресил» концепцию предельной выручки Курно7 и представил долгосрочную кривую средних издержек как оги-Пшощую краткосрочных кривых8. Но затем область интересов Харрода сдвигается в область макроэкономики и международной экономики. В работе «Теория международной экономики»4 Харрод излагает ^Концепцию мультипликатора внешней торговли. В книге «Экономи-нкий цккл»т он дает экономическому циклу кейнсианское объяс-Цшие, усматривая его причину во взаимодействии мультипликатора акселератора, но без построения соответствующей модели. Даль-||пмиее исследование этого взаимодействия как раз и привело Хар-■ода к изысканиям в области экономического роста, впервые изло-Кснным в статье 1939 г. «Очерк теории динамики»11, а впоследствии ■ппштым в изданной в 1948 г. книге «К теории экономической дина-щн/си».
|
|
|
'' Harrod R. The Life of John Meynard Keynes. L.: Macmillan, (951.
7 Harrod R, Economic Essays. L.: Macmillan, 1952. Ch. 3.
" Ibid, Ch. 4.
' Harrod R, International Economics. L.: Nisbet, 1933.
'" Harrod R. The Trade Cycle: An Essay. Oxford: Clarendon.
" Essay in Dynamic Theory//Economic Journal. 1939. Vol. 49. P. 14-33.
Харрод всегда стремился к применению экономической теории на практике, во время второй мировой войны работал в администрации премьер-министра У. Черчилля, был экономическим советником правительства, а после войны активно участвовал в разработке нового мирового экономического порядка. За заслуги перед отечеством в 1959 г. ему был присвоен дворянский титул.
Идеи, лежавшие в основе модели экономического роста Харро-да, как это часто бывает в истории экономической мысли, высказывались другими авторами раньше опубликования его работ, но помг чили широкую известность только после выхода в свет книги «Ктео рии экономической динамики».
Шведский экономист Густав Кассель в работе «Теория обществен ного хозяйства»2 впервые ввел в экономический анализ понятие сбалансированного роста, при котором структура экономики не меняется, поскольку все ее компоненты растут одинаковым темпом, равным темпу роста населения. (Грубо говоря, сбалансированный рост динамической экономической теории эквивалентен точке равной^ сия в статической.) Другой шведский экономист Эрик Лундберг в кт ге «Исследования по теории экономической экспансии»^ дал понята сбалансированного роста точную математическую формулировн показав, что единый темп роста должен равняться отношению мел нормой сбережений и показателем капиталоемкости экономик^ Этим он практически описал основное содержание будущей моде Харрода—Домара. Однако Харрод не был знаком с работами сноп шведских коллег,
|
|
|
Существует несколько вариантов записи модели Харрода, npjl надлежащих и ему самому, и последующим экономистам. Но во iscq случаях модель состоит из трех частей.
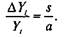
1. Фундаментальное уравнение роста. Прежде всего из дефиници основных экономических агрегатов и тождественных преобразов^ ний выводится фундаментальное уравнение Харрода:
|
(1
где С — темп прироста дохода или выпуска продукции, У— доход i выпуск продукции, К— капитал, S— сбережения, /- инвестиции, i определению равные приросту капитала АХ", по условию равные c6d режениям; s — доля сбережений в доходе; а — коэффициент прирос!
Cassel G. Theoretische Nationalokonomie. 2 Auflage. " Lundberg E. Studies in the Theory of Economic Expansion. L., 1937.
iimi капиталоемкости (количество капитала, необходимое для увеличения выпуска на единицу).
В этой форме фундаментальное уравнение представляет собой до-i и точно тривиальный вывод: темп роста прямо пропорционален доле ч-режений и обратно пропорционален капиталоемкости. Однако ему можно придать и более содержательную интерпретацию с точки зре-и mi исследуемой проблемы стабильности экономического роста.
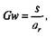
2. Гкрантированный рост. Инвестиции в каждый период времени / мнисят от ожидаемого для данного периода прироста выпуска:
I где /( - инвестиции в период t, Yt* - ожидаемый доход, а - коэффи-ImrcHT приростной капиталоемкости (количество капитала, необходимое для увеличения выпуска на единицу). Данное равенство фактически представляет собой механизм акселератора.
В то же время сбережения для того же периода по определению Ipiiinibi:
fruc Yt - доход или выпуск продукции в период t, St - сумма сбережении в этот же период, s — доля сбережений в доходе; По условию St = /(, т.е.
sY = aAY*.
(2)
Теперь нас интересует ситуация, которая является необходимым условием сбалансированного роста. Это ситуация, когда ожидания предпринимателей выполняются и у них, следовательно, нет никакого стимула расширять или сокращать свои производственные мощно-сш. (Предполагается, что при исполнении желаний мощности загружены полностью.) В этом случае ожидаемый прирост дохода должен Г)ыть равен фактическому: AY* = AYt, т.е. предприниматели не сталки-шнотся ни с какими приятными или неприятными сюрпризами.
Тогда из уравнения (2) следует, что
| (3) |

Левая часть уравнения (3) — это тоже темп прироста дохода (или
продукта), но не любой, атакой, при котором планы предпринима-
• тилей в точности реализуются. Харрод назвал такой рост гарантиро-
Ишшым (warranted, или GJ, хотя логичнее, вероятно, былобы назвать
Сю «равновесным».
Величина а в правой части уравнения (3) тоже представляет со-Оой не любой коэффициент приростной капиталоемкости, а толь-
ко тот, который требуется для гарантированного роста. Ее поэта му можно записать как аг (индекс г обозначает требуемый (анг^ required) уровеньданного показателя). «Это новый (предельный. Прим. авт.) капитал, требуемый для сохранения такого выпуск продукции, который должен удовлетворить потребительсо спрос, возникающий из предельного добавочного дохода потри бителей» (ЛК(. — Прим. авт,)™. В каждый данный момент ХаррС рассматривает величину аг как фиксированную. Это означает, 41 замещение труда капиталом или, наоборот, в процессе произвол ства он считает невозможным. Данную предпосылку, которая, ка| мы увидим ниже, играет в его модели решающую роль, Харрод нь водит не из постоянства технологий, как можно было бы предпС ложить, а из предполагаемой жесткости цен груда и капитала ставки заработной платы и нормы прибыли. Гибкость первой of раничена закрепленной в обществе минимальной ставкой зарпл! ты, а гибкость второй — минимально приемлемым уровнем про» цента.
|
|
|
Таким образом, стабильный гарантированный рост равен:

и для каждого момента его величина определена однозначно. Фак i и ческий рост вовсе не обязательно должен быть равен гарантирон.ш ному, хотя, конечно, всякий предприниматель стремится к тому, чп> бы его планы были максимально точными".
Расхождение же этих величин в модели Харрода имеет тендв! цию не сглаживаться, а, напротив, нарастать, что ведет к неустойч)] вости системы. Так, если G > Gw, т.е. рост оказался больше ожидае!» го, то капиталоемкость а будет меньше требуемой аг. Это приведем действие эффект акселератора — возрастут заказы на инвестицис ные товары. В свою очередь инвестиционный мультипликатор пр| ведет к дальнейшему росту производства.
Если же фактический рост окажется меньше гарантирование (ожидания производителей окажутся недовыполненными), то мо
14 См.: Классики кейнсианства: В 2-х т. Р. Харрод. 3. Хансен.|
С. 117.
15 Сам Харрод пишет об этом так: «GWecTb величина, определяемая
мя от времени опытным путем и посредством проб и ошибок, соверша|
великим множеством людей. Было бы большой удачей, если бы врезул
их коллективных оценок им удавалосьточно достигать величины Gw» (t
сики кейнсианства... Т. 1. С. 119).
in окажутся недогруженными, что запустит механизм акселера-1-мультипликатора в сторону понижения16.
| Возрастающее отклонение фактического роста от гарантирован-t можно было бы предотвратить, если бы норма сбережения s из-[илась во столько же раз, что и фактический темп роста G, но в гипоположном направлении. Однако, как справедливо отмечает юл, нельзя представить себе, что доля сбережений в доходе должном ичиться в 4 раза вследствие того, что темп роста дохода изме-|ленс 1 до4%!7. Тлким образом, ситуация сбалансированного роста, когда фак-
|
|
|
Чсский рост равен гарантированному, оказывается, говоря слова-
I Харрода, «равновесием на лезвии ножа». J (.сйствием этих центробежных сил, заставляющих систему откло-
rt.cn псе дальше от равновесного роста, Харрод объяснял феномен
люмического цикла.
.1. Естественный рост. Если гарантированный рост гарантировал yniyio загрузку производственных мощностей, то далее Харрод ^Оди г в свой анализ предпосылку полной занятости другого фак-ри производства — трудовых ресурсов. Темп экономического рос-мри полной занятости труда Харрод назвал естественным — Gn ридекс п соответствует английскому слову natural), хотя, может правильнее было бы назвать его «максимальным». Он опре-1ЛНСГСЯ темпом роста предложения труда и темпом роста его про-(йодительности. При предпосылке экспоненциального роста пред-)жспия и производительности труда естественный темп роста ра- \\\ сумме темпов роста этих величин:
Gn = n + g,
и — темп роста предложения труда, а# — темп роста производи-•щ.мости труда18. Gn представляет собой максимально возможный инь среднего значения G за долгосрочный период. 1,ля того чтобы были полностью загружены и труд и капитал, \но соблюдаться равенство Gw= Gn. Однако гарантированный и
'" Следует оговориться, что модель Харрода учитывает только эндоген-iic иппестиции, порождаемые акселерационным механизмом, и абстраги-|тсм от аптономных инвестиций, вызванных к жизни новыми шобрете--ми, долгосрочными ожиданиями и пр. Классики кейнсианства. С. 120.
Н период времени tYt= LtPt, где L — предложение труда, а Р— произво-п.ность труда. Если величина L растет неизменным темпом п процен-i Р— неизменным темпом ^процентов, то Ll= La ent, a Pt— Poegt. Под-n дна последних выражения в первое уравнение, прологарифмировав и ифференцировав по /, получим приведенный в тексте результат.
И и к>рки экономических учений
естественный темпы роста определяются независимо друг от дру совершенно разными факторами и совпасть могут только случайн^ «Лезвие ножа», на котором находится равновесие в модели Харрс оказывается «обоюдоострым» — необходимо дополнительно paccMfl треть случаи неравенства Gw и Gn.
Для начала предположим, что Gw < Gn. Выше было сказано, чт если G > Gw, возникает самоподдерживающийся бум. Если же пр^ этом к тому же Gw< Си, т.е. Gw<G<Gn, то этому буму невидно никл-' ких границ в долгосрочном периоде. Структурная безработица при сутствует, так как уровень Gn не достигнут, но сокращается. Однлко это состояние нельзя назвать беспроблемным, поскольку ситуации, когда производственные мощности хронически перегружены, чрев.| и инфляцией.
Конечно, намного хуже, если Gw > Gn. Тогда G просто не мо»< t быть больше Gw (G < Gn < Gw), так как величина Gn — его физичо кий предел. Это означает одновременное существование безрабош цы (С7< Gn) и недогрузки мощностей (Gn < Gw), т.е. преимуществен но депрессивное состояние хозяйства в течение долгого времени.
Таким образом, если расхождение фактического и гарантирован ного роста создает циклические колебания, то расхождение гаран i и рованного и естественного роста ведет к хронической безработица' Модель Харрода иллюстрирует циклическую и долгосрочную несш; бильность капиталистической экономики.
В своих статьях 1946— 1947 гг. американский экономист Евсей f мар, не знавший о работе Харрода 1939 г., самостоятельно прише уравнению равновесного роста, аналогичного уравнению гаранти! ванного роста Харрода. Основная идея Домара заключалась в т| что инвестиции играют в экономике двойственную роль: с одной < роны, они создают производственные мощности, а с другой - соэ ют спрос через эффект мультипликатора. Домар показал: для тс чтобы прирост спроса соответствовал приросту мощностей, ин! тиции (а значит — при условии равновесного роста и весь национа ный доход) должны расти темпом, равным os, где о — показатель | питалоотдачи, a s — норма сбережений. Поэтому в теории эконол ческого роста принято говорить о модели Харрода—Домара.






