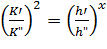
Гидравлический показатель русла x введён Б.А. Бахметевым для упрощения связи между модулем расхода K и глубиной h. Вместо уравнения Шези он предложил зависимость:
, (1.5.1)
где
и
- две произвольно взятые глубины в данном поперечном сечении русла;
и
- соответствующие им расходные характеристики. Величина
называется гидравлическим показателем русла. Приближённо считается, что он постоянен для данного поперечного сечения и не зависит от глубин.
Из зависимости (1.5.1) логарифмированием получена формула вычисления, м:
, (1.5.2)
Произведём расчёт:
, определим следующие характеристики при
м:
м2,
м,
м,
м0,5/с.
Теперь определим
м3/с.
, определим следующие характеристики при
м
м2,
м,
м,
м0,5/с.
Теперь определим
м3/с.7
И наконец гидравлический показатель русла:
.






