Вопрос 25.Современные тенденции рождаемости в России
Суммарный коэффициент рождаемости в конце 1990-х гг. в России опустился ниже когда-либо ранее зарегистрированного уровня (и, возможно, ниже, чем когда-либо ранее в современной ее истории), причем после 1990 г. падение было особенно быстрым. Тенденция снижения рождаемости наблюдалась в нашей стране на протяжении около 100 лет как закономерная тенденция демографического перехода, протекавшего в условиях социально-экономических преобразований 1920–1930-х гг., войн и особенностей послевоенного развития.
Падение рождаемости в 1990-е гг. выразилось в небольшом, но ощутимом увеличении бездетности гипотетических поколений, возобновлении долгосрочной тенденции снижения вероятности рождения третьего ребенка (задержанной мерами демографической политики 1980-х гг.) и в резком падении вероятности рождения второго ребенка. В целом, население сделало зримый шаг к принятию однодетной модели семьи в противоположность двухдетной господствующей в 1980-е гг.
|
|
|
В 2000—2004 гг. число рождений в России увеличивалось. По сравнению с минимальным показателем, достигнутым в 1999 г., — 1214,7 тыс. число живорождений в 2004 г. увеличилось на 259 тыс., или на 21%. В 2005 г. интенсивность деторождения заметно упала практически во всех возрастных группах, что и предопределило уменьшение общего числа рождений.
Современные особенности рождаемости в России
1) В России, безусловно, преобладает малодетная (1–2-детная) семья. По оценкам, вероятность рождения третьего ребенка в России опустилась с 0,29 в 1989 г до 0,16
в 1994 г.
2) Преобладание малодетной семьи в России имеет и другую сторону: низкий уровень бездетности в отличие от стран Запада, где значительная доля женского населения – преимущественно принадлежащих или к бедному, или к зажиточному слою (женщины с высшим образованием, предпочитающие высокооплачиваемую карьеру) остаются бездетными. В России же репродуктивное поведение практически независимо от принадлежности к той или иной имущественной или социальной группе, ориентировано на обязательное рождение ребенка.
3) Столь низкий уровень бездетности не может не быть сопряжен с ранним началом деторождения. Действительно, смещение российской рождаемости к молодым возрастам постоянно подчеркивается в демографической литературе (в России средний возраст матери составляет 22–23 года). Сейчас же средний возраст матери при рождении ребенка в России уже выше, чем был в 1986—1987 гг., накануне последовавшего затем его снижения. Но она все еще принадлежит к числу стран с наиболее «молодой» рождаемостью, уступая только Украине, Белоруссии, Молдавии, Болгарии и Румынии, в которых средний возраст материнства еще несколько ниже.
|
|
|
4) По вероятности рождения второго ребенка (около 0,46) Россия опустилась ниже известных из литературы оценок для населения Запада. По-видимому, падение рождаемости в основном выразилось в откладывании, в том числе и на неопределенный срок, рождения второго (а не первого, как это можно было бы предположить, судя
по западным примерам) ребенка.
Демографический анализ рождаемости, как полагают некоторые демографы, по существу, более сложный, чем анализ смертности, использует обширную систему показателей и опирается на более сложные математические модели.
• Абсолютные числа рождений N
• Общий коэффициент рождаемости: n=(N/S*T)*1000‰
•
Специальный коэффициент рождаемости
• Возрастные коэффициенты рождаемости
![]() |
• Специальный коэффициент рождаемости: n спец. = n*s(доля женщин в 15-49) - НЕДОСТАТКИ ОБЩЕГО КОЭФФИЦИЕНТА УСТРАНЯЕТ СЛАБО
•
Суммарный коэффициент рождаемости:
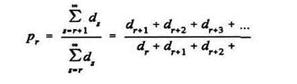
• Вероятности увеличения семьи (доли женщин, родивших в итоге в точности r детей: dr)

•
(Показатель календаря рождений) Средний возраст матери при рождении ребенка:
Существует мнение, что многие коэффициенты рождаемости грубо и неточно отражают действительность; в частности общие коэффициенты, показывающие число рожденных детей на душу населения, не учитывают того, что число рожденных детей на душу населения зависит от многих демографических обстоятельств, которые мало или никак не связаны с текущим уровнем рождаемости (рождаемость прошлых лет.) В итоге общие коэффициенты смешивают состояние данного конкретного населения (его состав, структуру), во многом определяющее число рожденных детей на душу населения и сложившееся под влиянием демографических процессов прошлого, и собственно демографический процесс, который изучается: рождаемость данного календарного года. Для того чтобы избежать этого, были разработаны стандартизованные коэффициенты и индексы.
Стандартизация позволяет исключить влияние возрастного состава населения на общие или специальные коэффициенты рождаемости. Прямая стандартизация определяет, какой общий (специальный) коэффициент рождаемости имел бы место в данном населении, если бы его возрастной состав совпадал с возрастным составом другого населения, которое принято за стандарт. Косвенная стандартизация определяет, какой общий (специальный) коэффициент рождаемости имел бы место в данном населении, если бы его возрастные коэффициенты рождаемости совпадали со стандартными.
• Рождаемость (Fertility, Fecondité) – процесс деторождения в поколении или в населении
• Плодовитость (Fecundity, Fertilité) – потенциальная возможность деторождения
• Естественная рождаемость (L.Henry) – брачная рождаемость при отсутствии намеренного ограничения деторождения
ИЗУЧЕНИЕ РОЖДАЕМОСТИ: ИСТОЧНИКИ
•Текущий учет рождений - статистика рождений
•Переписи:
1) возрастная структура населения
2) информация о рождениях
3) распределение детей по брачному состоянию родителей
4) данные о населении в сопоставлении с рождаемостью
•Выборочные обследования рождаемости - те же данные, что и в переписи + более детальные сведения.
СПЕЦИФИКА ИЗУЧЕНИЯ РОЖДАЕМОСТИ:
•Не все население подвержено риску родить ребенка
•Рождаемость может измеряться по отношению к отцу, к матери или к брачной паре
•Явление деторождения относится одновременно и к ребенку, и к родителям. Тот и другие должны изучаться совместно (смерть - 1 человек)
•Один индивид может стать родителем дважды в течение года и даже в течение часа (умереть - единожды)
•Важно учитывать влияние предыдущей демографической истории (в т.ч. смертности) на рождаемость
|
|
|
•Изучение изменений в рождаемости более сложное, поскольку эти изменения зависят от склонностей, предпочтений индивидов







