Пример 2
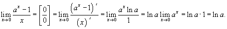
Пример 1
Вычислить предел
.
Решение.
Дифференцируя числитель и знаменатель, находим значение предела:

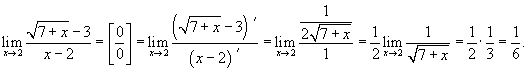
Вычислить предел
.
Решение.
Поскольку прямая подстановка приводит к неопределенности типа
, применяем правило Лопиталя.

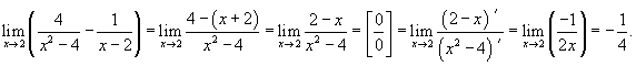
Вычислить предел
.
Решение.
Здесь мы имеем дело с неопределенностью типа
. После простых преобразований, получаем







