Ранее мы познакомились с примерами нахождения пределов отношения двух бесконечно малых или бесконечно больших функций, то есть раскрытия неопределенностей вида 0/0 и ∞/∞. Сейчас рассмотрим новое правило раскрытия этих неопределенностей.
Правило Лопиталя представляет собой метод вычисления пределов, имеющих неопределенность типа
или
.
Пусть a является некоторым конечным действительным числом или равно бесконечности.
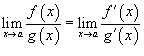
- Если
и
, то
; - Если
и
, то аналогично
.
Способ раскрытия такого рода неопределённостей был опубликован Лопиталем в его сочинении «Анализ бесконечно малых», изданном в 1696 году.
Правило Лопиталя можно также применять к неопределенностям типа
. Первые две неопределенности
можно свести к типу
или
с помощью алгебраических преобразований. А неопределенности
сводятся к типу
с помощью соотношения

Правило Лопиталя справедливо также и для односторонних пределов.






