Методика описания структуры теплотехнической сис-мы.
Методика моделирования теплотехнических систем на макроуровне.
Методология исследования теплотехнической системы.
Теплотехническая система, как объект системотехники.
Ограничение при разработке и эксплуатации теплотехнических сис-м.
Ограничения, которые сущ-ют на этапах жизни теплотехнического объекта можно классифицировать по следующим группам:
1. Ограничение на ресурсы.
2. Ограничение на пар-ры.
3. Ограничение на способы решения задач.
4. Технологические ограничения.
5. Методологические ограничения.
6. Информационные ограничения.
Ограничения на ресурсы включают в себя:
Ограничения на материалы, энергию, денежные средства, производственные площади и т.д., т.е. это все ограничения влияния связей теплотехнической сис-мы при ее строительстве и эксплуатации.
Ограничение на пар-ры связаны с тем, что любая техническая сис-ма имеет допустимые и недопустимые состояния.
Под допустимым состоянием в этом случае понимают состояние нормального, устойчивого функционирования. Любое состояние сис-мы хар-ся совокупностью значений ее пар-ров. Диапазон изменения технической сис-мы, при которой она нормально и устойчива функциони-рует, как правило, незначительна, т.е. при разработке устанавливается для каждого пар-ра некоторый незначительный диапазон, который данный пар-р может принимать:
.
В ряде случаев многие ограничения на пар-ры задаются недостаточно четко. В этом случае при эксплуатации имеются завышенные расходы ресурсов, снижается эффективность работы сис-мы. Увел-ся сами объемы работы.
В ряде случаев ограничения на пар-ры м.б. записаны в виде функциональной зависимости.
Например, т-ра ух.г. из котлоагрегата по нижнему пределу ограничивается т-рой точки росы, которая в конечном счете зависит от состава т-ва.
Ограничения на способы решения задач определяется наличием ограниченного набора технологий, которые м.б. положены в основу создания теплотехнологической сис-мы, решаю-щую определенную задачу.
Экологическое ограничение определяется взаимодействием с о.с. и ее способностью воспри-нимать и перерабатывать пром. выбросы. При разработке конкретной сис-мы ей выделяется то-лько определенный лимит этих возможностей.
Технологические ограничения определяются сложностью изготовления, и наличием матери-ала с требуемыми свойствами.
Методологические ограничения вызваны отсутствием эффективных методов оценки пар-ров теплотехнических сис-м и принятием технических решений, при эксплуатировании и эксплу-атации.
Информационные ограничения связаны с недостатком инф-ции с теплотехнической сис-мы и в частности по технологии ее работы, по технологии ее изготовления, по эффективности конкретных способов решения ее задач, по хар-кам отдельных эл-ов и сис-мы в целом, по кол-ным оценкам всех видов ограничений, и по сис-ме режимов работы и отдельных ее эл-ов.
Следует отметить, что при выполнении структурной и параметрической оптимизации все виды отмеченных ограничений д.б. по мах. представлены в количественном виде, либо в виде ограничений неравенств, либо ограничений в виде равенств (функциональных зависимостей).
Эти ограничения представляют собой отдельную составляющую мат. модели.
Обобщенностью современного развития техносферы и общества в целом, явл-ся более расши-ряющаяся сфера, практического применения системного анализа.
В пр-се применения этих методов в технике сформировалось особое направление – системо- техника. Помимо общих проблем сис-ного подхода в системотехникирешаются задачи:
1. Выявление и описание наиболее общих сис-ных хар-к и закономерности независящих от конкретного типа технических комплексов.
2. Разработка экспериментальных опытов, позволяющих с достаточной достоверностью, при минимальном объеме затрачивающих ресурсов, оценивающих теоретические концепции.
3. Изучение круговорота в-ва и последовательности операции по использованию энергии и формировании на этой основе обобщенных критериев частных типов сис-м.
4. Разработка методов реализации принципов системотехники при создании и использовании конкретных образцов сис-мы.
Т.к. системотехника в силу своей ориентированности на наиболее общие несистемные хар-ки носит междисциплинарный хар-р, изучаемые его законы и закономерности, не зависят от конкретного типа сис-мы. В этой силе системотехники кроется ее слабость, т.к. абстрактность системотехники значительно ослабляет связь со специфическими требованиями и св-ми отдельных классов сис-м.
Поэтому наряду с общими подходами справедливыми для всех отраслей техники, сущ-ют особенности применения системотехники и конкретным классом технических сис-м, что хар-но и для теплотехнических сис-м.
Под сис-ой – понимают совокупность взаимосвязанных эл-ов, обладающее св-ми, отличительными от св-в отдельных эл-ов.
Сущ-ет 4 основных св-ва, которыми должна обладать сис-ма:
I – целостность и членимость, первичным явл-ся целостность.
II – наличие связи, т.е. наличие существенных связей или отношений между эл-ми и их св-ми, превосходящими по мощ-ти связи этих эл-ов с эл-ми внешних сис-м.
В любой сис-ме устанавливается мн-во связей между эл-ми. Однако в 1-у очередь значения имеют те связи, которые определяют существенные св-ва сис-мы. При этом под связями понимают физ. каналы, по которым обеспечивается обмен между эл-ми сис-мы и эл-ми внешних сис-м, потоками в-ва, энергии и инф-ции.
Основными хар-ми связи явл-ся:
1. Мощ-ть.
2. Направление.
3. Физ. наполнение.
4. Роль в сис-ме.
Мощ-ть связи определяются интенсивностью потока энергии и инф-ции, последняя д.б. цен-ной, полезной и верной.
По направленности связи разделяются на:
1. Прямые.
2. Обратные.
3. Контр. связи.
4. Нейтральные.
По физ. наполнению связи разделяются на:
1. Вещественные.
2. Энергетические.
3. Информационные.
4. Смешанные.
5. Не накопленные, т.е. отношения.
По роли связи разделяются на:
1. Соединительные.
2. Ограничивающие.
3. Усиливающие или ослабляющие.
4. Запаздывающие или опережающие.
5. Преобразующие.
6. Согласующие.
7. Координирующие.
III – наличие организации, т.е. наличие определенной стр-ры эл-ов, выполняющих определен-ную ф-цию.
IV – наличие интенсивного качества, т.е. присутствие или существования св-ва или св-в, которые присущи только сис-ме в целом, но по одному из эл-ов в отдельности.
Под стр-рой сис-мы понимают устойчивую упорядоченность в пр-ве и во времени и ее эл-ов и связи. Стр-ра явл-ся наиболее консервативной хар-ной технической сис-мы, т.е. она может неизменно сущ-ть в течение длительного времени.
В принципе, стр-ры м.б. следующие:
I – по хар-ру организации:
1. Сетевые.
2. Скелетные.
3. Централистические.
II – по св-вам стр-ры разделяют на:
1. Стабильные.
2. Нестабильные.
3. Редуцирующие (с ослабляющим со свойствами).
4. Деградирующие (с ухудшающими св-ми).
5. Экстенсивные (с ростом числа эл-ов).
6. Интенсивные (с ростом связи и мощ-ти)
Под ф-цией сис-мы понимают действие, поведение или деятельность.
Ф-ция эл-та возникает как реализация его системоопределяющих св-в, при формировании стр-ры. Ф-ция сис-мы специфическое порождение всего комплекса ф-ции эл-ов.
Основной целью исследования теплотехнической сис-мы с позиции системотехники, явл-ся раскрытие реального функционирования сис-мы, определения способов приспособления к изменяющимся внешним условиям, и путем путей совершенствования сис-мы.
Исследование теплотехнической сис-мы можно разделить на следующие этапы:
1 этап: Выделение установки из сис-мы более высокого уровня.
на этом этапе определяются границы сис-мы, формулируются задачи исследования, и определяются критерии оптимальности.
2 этап: Определение стр-ры исследуемой сис-мы.
На этом этапе определяется технологическая схема, состав эл-ов и виды связей между ними. В рез-те определяется иерархия исследуемой сис-мы.
3 этап: агрегатирование реальных эл-ов и связи установки.
Цель этапа: создание иерархии эквивалентных сис-м, каждая из которых охватывает наиболее тесно связанные эл-ты исходной сис-мы, и одновременно доступны для локального исследова- ния.
4 этап: формулировка совокупности задач необходимых для каждой решения, применительно к каждой эквивалентной сис-мы, на каждом временном уровне исследования.
Целью этапа явл-ся создание иерархии конкретных задач, которые необходимо будет решать в ходе исследования.
5 этап: выявление формы и способов взаимосвязи эквивалентных сис-м.
Цель этапа: определение сис-мы технико-экономической инф-ции, которыми будут обмениваться эквивалентные сис-мы в ходе исследования.
6 этап: построение комплекса мат. модели, который явл-ся инструментом для исследования.
Комплекс мат. модели можно представить в виде следующего графика:
Внешняя сис-ма – это т-во снабжение, металлургия, т.е. смежные объекты и о.с.
ММС – мат. модель внешней сис-мы.
ММУ(А) – мат модель отдельных установок и эл-ов.
ММЭ – мат. модель далее неделимых моделей.
Внутренняя сис-ма – пр-сы, протекающие внутри объекта.
НД – исходные данные формируются за счет ПН1 (прямой инф-ции) от внешних сис-м и от внутренних сис-м (ПН2).
РН – рез-ты исследования, которые определяют обратную инф-цию к внешним сис-ам, которая включает в себя требования для смежных отраслей (ОИ1) и обратная инф-ция (ОИ2) формулирует задачи для дальнейшего исследования внутренней сис-мы.
Пунктирная линия обратной связи отражает интерационность пр-са исследования.
Мат. модель в общем, виде можно представить как функционал векторов
, где s – вектор пар-ров состояния сис-мы (различных пар-ров); u – вектор пар-ров, описывающих стр-ру сис-м; p – вектор конструктивных пар-ров; τ – время.
Вектор пар-ров состояния представляет собой сумму независимых (х) и зависимых (у) пар-ров
.
Через оператор преобразования модель записывается для нестационарных режимов как:
, для стационарных -
.
Для однозначного решения число у-ний мат. модели должно равняться числу зависимых пар-ров. Таким образом, если n – число пар-ров состояния, а в – число у-ний, можно определить степень свободы модели:
.
Под степенью свободы понимают число свободных, независимых переменных, которое необходимо и достаточно для однозначного определения пр-са функционирования теплотехнической сис-мы.
Решение сис-мы у-ний мат. модели можно получить и в том случае, когда число у-ний больше числа неизвестных пар-ров.
В этом случае используют методы решения у-ний, применяемых при использовании метода наименьших квадратов. Т.к. число независимых пар-ров при использовании теплотехнических сис-м достаточно большое, то их разделяют на 2 группы:
1. Группу регламентируемых пар-ров, l.
2. Группу управляемых пар-ров, х.
r – число независимых пар-ров х.

При проведении анализа или оптимизации теплотехнической сис-мы, регламентируемые пар-ры фиксируются на определенное значение, и управляемые изменяют в заданных пределах.
Мат. модель теплотехнической сис-мы на макроуровне представляет собой совокупность:
1. Формализованного описания стр-ры (теплотехнической сис-мы).
2. Сис-мы балансовых у-ний.
3. Сис-мы ограничений у-ний.
4. Ф-ции цели (качества).
Ранее отмечалось, что теплотехническая сис-ма представляется в виде совокупности эл-ов, взаимосвязанных между собой и внешними сис-ми, следовательно, любой эл-нт теплотехничес-кой сис-мы можно представить в виде некоторого соотношения между пар-ми эл-та. Связи на входе в эл-нт, конструктивными пар-ми эл-та и пар-ми на выходе из эл-та:

следовательно, у-ние имеет 2 понятия: понятие эл-нт, и понятие связь.
Под эл-ом понимается составляющая часть сис-мы, в которой происхо-дит преобразование энергии, массы, инф-ции.
Под связью составляющей сис-мы понимается предназначение для передачи потоков в-ва, энергии и инф-ции.
В теплотехнической сис-ме можно считать, что основные связи можно связать по потокам в-ва и энергии, реализуется энергопотребителем, причем по видам преобразования энергии, теплоносители можно разделить на 2 группы:
1. Многопараметрические (теплоносители).
2. Однопараметрические (связи по механической и электрической связи).
Для оценки состояния многопараметрической связи необходимо иметь или знать минимум три параметра: 2 термодинамических и 1 расходный. Чаще всего это – давление, т-ра и расход.
В случае, когда теплоноситель представляет собой смесь в-в или явл-ся 2- фазным (2-х компонентным), дополнительно задается n-1 пар-р, где n – число компонентов или фаз.
Однопараметрические энергоносители хар-ся пар-ром – мощ-ть.
Для описания формализации стр-ры принципиально состоящей из 2 видов эл-ов: удобно использовать теорию графов.
Под ориентированным графом понимают геометрическую фигуру на плоскости, состоящую из мн-ва вершин, обозначаемых точками, и мн-ва ориентированных дуг, соединяющих вершины. Следовательно, при изображении стр-ры теплотехнической сис-мы, эл-ты в которых происходят преобразования – обозначают вершинами, а эл-ты связи – дугами. После представления стр-ры в виде графа легко произвести формализацию описания, т.к. граф легко описывается рядом матриц (структурной матрицы – основная, матрица видов связи, матрицей сложности пр-са, матрицей контуров - дополнительные).
Последовательность ориентированных дуг, позволяющих пройти из одной вершины графа в другую – наз-ют путем, которые изображаются последовательностями соответствующих вер-шин.
Вершины, соединяющиеся дугой – наз-ся инцендентными. Путь, содержащий кадук наз-ют путем длинной к.
Контуры, состоящие из одинаковых вершин считаются одинаковыми.
Если 2 или несколько контуров имеют одинаковую вершину или вершины, то они наз-ся связанными. И мн-во связанных контуров графа образуют контур.
Комплекс, это мах. возможное мн-во вершин и дуг графа, обладающих тем св-вом, что для любых 2 вершин этого мн-ва сущ-ет соединяющий на путь.
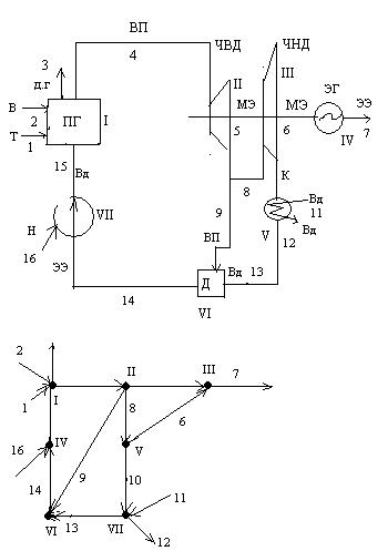
Проиллюстрируем сказанное на примере схемы простейшей паросиловой установки.
Граф кодируется структурной матрицей (матрицей соединения) – это прямоугольная матрица строки, которой обозначается по камерам связи, а столбцы по номерам эл-ов.
МЭ – механическая энергия.
ВП – водяной пар.
ЭЭ – электроэнергия.
Т – топливо.
В – воздух.
ДГ - дымовые газы.
Вд – вода.
-1 – в i-j эл-те матрицы явл-ся признаком, что i-ая связь выходит из j-го эл-та.
+1 в i-j эл-те матрицы явл-ся признаком, что i-ая связь входит в j-ый эл-нт.
Принципиально можно сделать наоборот. Сумма эл-ов строки определяет категорию связи, если они равна нулю, то это внутренняя, если ±1 – то внешняя связь.
Матрица матрица соединения дополняется матрицей видов связи, которая необходима в связи с тем, что связи реализуются различными энергоносителями. 1 в j-i эл-те матрицы видов связи, означает, что i-ая связь реализуется j-ым энергоносителем. Для анализа схем, сущ-ют и другие матрицы.

Пр-сы в каждом к-ом эл-те сис-мы и их у-ний, количественные зависимости определяются законами термодинамики, ТМО, гидроаэродинамики.
Однако, несмотря на все разнообразие пр-сов и описывающих их законов, мат. зависимости, между пр-ми на входе и выходе эл-та, описываются 4 видами у-ни1:
1. У-ние материального баланса.
2. У-ние энергетического баланса.
3. У-ние изменения давления теплоносителя.
4. У-ния изменения энтальпии.
У-ние материального баланса м.б. записаны в общем, виде, как:
, где
- для к-го эл-та, l – тракта.
У-ние энергетического баланса: 
В обоих формулах n – число многопараметрических эл-ов, к – номер эл-та, m – число однопараметрических пар-ров, G – расход, h – энтальпия, Р – мощ-ть.
Потоки, вносящие в-во или энергию осуществляются, положительными, и выносящие, в-во или энергию – отрицательными.
У-ние изменения давления:

У-ние изменения энтальпии:

и
- давление i-го теплоносителя на входе и выходе из к-го эл-та.
и
- соответственно энтальпия i-го теплоносителя на входе и выходе из к-го компонента.
и
- изменения давления и энтальпии i-го теплоносителя в к-ом эл-те.
Примеры составления балансовых у-ний.
1. насос.


.
У-ние материального баланса:
.
У-ние энергетического баланса:
, где γ – потери в о.с.
Мощ-ть насоса:
.
Изменение давления:
.
Изменение энтальпии:
.
2. Конденсатор паровой турбины.
У-ние материального баланса:
, 
У-ние энергетического баланса:
, где γ – потери в о.с. Для теплообмена потерь в о.с. ставится со стороны горючего (отдающего) теплоносителя.
Изменение давления:
.
.
Изменение энтальпии:
.
.
3. Генератор.

У-ние энергетического баланса:
.
Если коэф. потерь в о.с. ставятся при потоке, который выносит энергию из эл-та (выходящего потока), то ставят 1/γ.
4. Паровая турбина (часть низкого давления (ЧНД)).
У-ние материального баланса:
.
У-ние энергетического баланса:
.
Изменение давления:
.
Изменение энтальпии:
, где
- находят по
диаграмме hs, 
5. Паровая турбина (часть высокого давления (ЧВД)).
У-ние материального баланса:
.
У-ние энергетического баланса:
.
Изменение давления:
.
Изменение энтальпии:
.
6. Деаэратор.

У-ние материального баланса:
.
У-ние энергетического баланса:
.
Изменение давления:
,
, 
Изменение энтальпии:
,
,
.
7. Парогенератор.

У-ние материального баланса:
,
.
У-ние энергетического баланса:
.
Изменение давления: 
,
, 
Изменение энтальпии:
,
,
,
.
Величины ΔР и Δh определяется из тепловых, аэродинамических и гидродинамических расчетов эл-ов. Для расчета самой схемы достаточно составить сокращенную сис-му балансовых у-ний, состоящую из у-ний материального и энергетического баланса. После сос-тавления сис-мы балансовых у-ний можно определять число зависимых и независимых пар-ров.
.