Метод деления пополам.
Алгоритм этого метода:
1. интервал неопределенности делится на 4 равные части, в полученных узлах сетки определяется условием целевой ф-ции.
2. выбирается 2 соседних участка с максимальным значением на общей границе.
3. вычисляется значение ф-ции в центре каждого из участков.
4. если длина участка больше допустимой, то осуществляется переход к пункту 2, в противоположном случае расчет заканчивается.
Алгоритм метода:
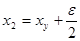
1. интервал неопределенности делится пополам, и определяются 2 расчетные точки:

, где ε – некоторое малое значение изменения определяющего пар-ра. В этих точках производиться вычисление целевой ф-ции.
2. выделяется сокращенный интервал неопределенности оп наибольшему расчетному значению ф-ции. Если длина сокращенного интервала неопределенности больше допустимого значения, то осуществляется переход к пункту 1, в противном случае расчет заканчивается.






