Задачи интервального программирования с линейными ограничениями.
Пусть неизвестны точные значения параметров
порождающей задачи линейного программирования и возможным реализациям этих параметров нельзя приписать функцию распределения внутри известных границ.
Задача интервального программирования имеет вид:

Рассмотрим возможные модели допустимой области

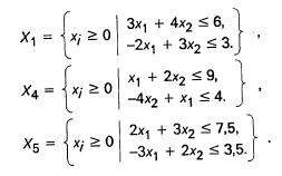
X1 – самая жесткая постановка, X4 – наиболее «либеральная».
Учитывая неотрицательность переменных x>=0, можно выразить множества Xi через граничные элементы интервальной матрицы [A] и интервального вектора [b] (получить детерминированные эквиваленты моделей ограничений)

X5={x>=0:
x<=
}, где
=(b++b-)/2
Из анализа экстремальных допустимых областей следуют включения:
.
Пример.



Приведенные выражения позволяют, используя содержательную интерпретацию и технологические требования к допустимому решению определить детерминированную допустимую область задачи в форме одного из множеств
, уже не охватывающего интервально заданные параметры.
|
|
|






