Т.
Такая нормальная величина называется нормированной и обозначается
Носит название
Нормально распределенной величины
График плотности вероятности
кривой Гаусса:
График ее функции распределения –
интегральная кривая Гаусса:
Для определения вероятности попадания нормальной СВ в некоторый интервал
требуется вычисление интеграла от f(x), а этот интеграл не вычисляется в элементарных функциях.
Поэтому ИЗ бесконечного множества нормальных величин с разными μ и σ выделяют одну,
у которой μ = 0, σ = 1.
Свойства Φ (t)
Φ(-∞) = 0, Φ(∞) = 1
Φ(0) = 0,5
*) Φ (- t) = 1 - Φ (t)
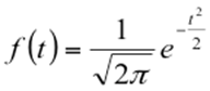
Плотность вероятности нормированной нормальной величины

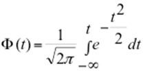
Функция распределения нормированной нормальной величины
Приближенные значения Φ (t) для значений аргумента t ≥ 0 вычислены и указаны в специальной таблице
("табулированы").
Для t < 0 значения Φ определяются, исходя из указанного выше свойства *).
Так, Φ (-1) = 1 – Φ (1); Φ (1) находим по таблице и подставляем в формулу.
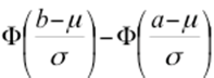
Значения функции распределения F(х) произвольной нормальной величины можно определить через нормированную путем СПЕЦИАЛЬНОЙЗАМЕНЫ ПЕРЕМЕННОЙ:
Вероятность попадания значений нормальной величины в произвольный интервал
формула имеет следующий вид:
P(a<X<b) =
Значения Φ находятся по таблице нормального распределения.
Вероятность того, что значения нормальной величины
распределятся в окрестности ε («эпсилон»)ее математического ожидания,вычисляется по формуле:

ε = σ
Чем больше окрестность ε,
тем выше вероятность попадания в нее
значений величины Х. Найдем эту вероятность при значениях ε,
кратных σ.
Пусть ε = σ. Тогда в правой части формулы получим:
2 Φ (1) - 1 =
=2 ∙ 0, 8413 -1 =
= 0, 6826
(или 68, 26%).
ε = 2σ, ε = 3σ
2) ε = 2σ.
Аналогичный расчет дает вероятность
0,9544
(или 95,44%).
2) ε = 2σ.
Аналогичный расчет дает вероятность
0,9544
(или 95,44%).
ПРАВИЛО ТРЕХ СИГМ
ПРАКТИЧЕСКИ ДОСТОВЕРНО,






