Государственный и муниципальный долг
Учебно-методический комплекс по дисциплине
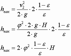
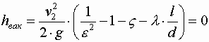
Предельная длина насадка
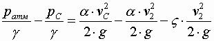
Величина вакуума в сжатом сечении насадка
















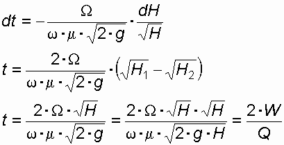
Истечение жидкости при переменном напоре
|
|

Специальность 080105.65 Финансы и кредит
Преподаватель:






