Проектирование трубопроводов включает комплекс геодезических, геологических и гидрологических исследований, и сбор географических и экономических сведений, проводимых для наработки проекта трубопровода. Специальное внимание уделяется изучению взаимодействия трубопроводов с окружающей средой при прокладке их в зоне многолетней мерзлоты и на морских пространствах. Создание проектно-сметной документации (ПСД) предшествует выполнению схем развития соответствующего трубопроводного транспорта на перспективу (не меньше чем на 15 лет), в которых определяются основные параметры трубопроводных систем, конкретных трубопроводов и отводов от них, обосновывается рациональность проектирования, определяются расчётная стоимость и примерные сроки строительства. По схемам развития ведутся технико-экономические расчёты (ТЭР) и технико-экономические обоснования (ТЭО), в которых определяется порядок наработки проектно-сметной документации: в 2 стадии - проект и рабочая документация или в одну стадию - рабочий проект (трубопроводы малой протяжённости и производительности).
Исследования для наработки проекта строительства трубопроводов включают комплексное изучение природных условий района (участка) строительства трубопровода и получение материалов, необходимых для наработки экономичных и технически обоснованных решений при его создании проекта и строительстве, и данных для составления прогноза и перемены окружающей натуральной среды в итоге строительства и использования трубопровода и сооружений, связанных с ним. К главным видам инженерных изысканий для строительства трубопроводов относятся: инженерно-геодезические, инженерно-геологические и инженерно-гидрологические.
22. Потери напора на местных гидравлических сопротивлениях. Несмотря на многообразие видов местных гидравлических сопротивлений, их всё же можно при желании сгруппировать:
потери напора в руслах при изменении размеров живого сечения, потери напора на местных гидравлических сопротивлениях, связанных с изменением направления движения жидкости, потери напора при обтекании преград.
Внезапное расширение русла. Внезапное расширение русла чаще всего наблюдается
на стыке участков трубопроводов, когда один трубопровод сочленяется с магистральным трубопроводом большего диаметра. Величина коэффициента потерь напора в данном случае определяется с достаточной точностью на теоретическом уровне. Поток жидкости движущейся в трубопроводе меньшего диаметра d, попадая в трубу
большего диаметра, касается стенок нового участка трубопровода не сразу, а лишь в сечении 2-2'. На участке между сечениями 1 - Г и 2-2' образуется зона, в которой жидкость практически не участвует в движении по трубам, образуя локальный вихревой поток, где претерпевает деформацию. По этой причине часть кинетической энергии движущейся жидкости тратиться на поддержание «паразитного» сращения и деформации жидкости. Величины средних скоростей жидкости в сечениях можно определить из условия неразрывности.
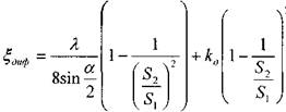
Плавное расширение русла называется диффузором. Течение жидкости в диффузоре имеет сложный характер. Поскольку живое сечение потока постепенно увеличивается, то, соответственно, снижается скорость движения жидкости и увеличивается давление. Поскольку, в этом случае, в слоях жидкости у стенок
диффузора кинетическая энергия минимальна (мала скорость), то возможна остановка жидкости и интенсивное вихреобразование. По этой причине потери энергии напора в диффузоре будут зависеть от потерь напора на трение и за счёт потерь при расширении:

2
где:
- площадь живого сечения на входе в диффузор,
S2 - площадь живого сечения на выходе из диффузора, а - угол конусности диффузора,
^ Внезапное сужение канала. При внезапном сужении канала поток жидкости отрывается от стенок входного участка и лишь затем (в сечении 2 - 2)касается стенок канала
меньшего размера. В этой области потока — * образуются две зоны интенсивного вихре-образования (как в широком участке трубы, так и в узком), в результате чего, как и в предыдущем случае, потери напора складываются из двух составляющих (потерь на трение и при сужении).Коэффициент потерь напора при гидравлическом сопротивлении внезапного сужения потока можно определить по эмпирической зависимости, предложенной И.Е. Идельчиком:
