Анализ численности трудовых ресурсов. Для исследования численности трудовых ресурсов эффективным является применение математической модели баланса движения населения и трудовых ресурсов:

где Nj1, Nj2, — численность населения в отрасли j соответственно в начале (индекс «1») и конце (индекс «2») рассматриваемого периода;
Pj — общая численность прибывших в отрасль j;
Vj — общая численность выбывших из отрасли j.
Анализ интенсивности миграций. Интенсивность миграций шределяется по различным факторам:
- по приему трудовых ресурсов, или мигрантов:

- по выбытию:

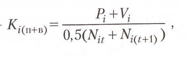
- по обороту:

где, Pi — количество мигрантов, поступивших в район i,
Vj — количество мигрантов, выбывших из района i;
- численность населения соответственно на начало и конец периода.
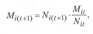
Определим отраслевую интенсивность миграционных процессов как показатель «привлекательности» или «отталкивания» ми фантов по формуле:

где Мit и Мi(t+1) — количество мигрантов соответственно в отчетный и прогнозный периоды;
Nit и Ni(t+1) — численность промышленно-производственного персонала в отраслях соответственно в отчетный и прогнозный периоды.
Анализ занятости населения в регионе. Существенное влияние на уровень занятости населения оказывает его возрастная структура. Различия в возрастной мобильности можно рассчитать исходя из удельного веса населения в трудоспособном возрасте, т.е. отношения его численности к общей численности населения (страны, региона, района):

Затем рассчитывается региональный коэффициент возрастной мобильности
Далее осуществляется пересчет показателей занятости на 1000 жителей:

Коэффициент занятости характеризует количественный аспект эффективности использования трудовых ресурсов в регионе, т.е. долю трудовых ресурсов, участвующих в производстве:

Более строго использование трудовых ресурсов отражает коэффициент трудоспособной активности населения.

Количественную характеристику использования трудовых ресурсов определяют по коэффициенту производственной активности
Gотребность в трудовых ресурсах определяется с учетом процессе старения, который характеризуется коэффициентом старости

Шкала «старости»:

10.4 Регулирование занятости в регионе.
В структуре российской безработицы велика доля квалифицированных работников. Доля лиц с высшим и средним специальным образованием в общей численности безработных составляет около 40%, в то время как в США среди административно-управленческих работников и специалистов различного профиля, включая инженеров и ученых, общая численность которых среди занятых в 1996 г. достигла 29%, безработица не поднималась выше 2,2%. Как ни странно, в России в более выигрышном положении оказывается неквалифицированная рабочая сила, что свидетельствует о сохранении старого, технологически отсталого производства.
Рыночные отношения в сфере труда базируются на следующих принципах:
- личная и экономическая свобода работника, экономической базой для которой является многообразие форм собственности в экономике;
- право работодателя самому решать вопросы о количестве и качестве рабочей силы, увольнять лишних работников;
- для рынка труда характерна свобода в движении заработной платы, отсутствие ограничений для ее роста. Заработная плата — главный регулятор в отношениях между покупателем и продавцом рабочей силы, ее уровень определяется по согласованию сторон.
В условиях рыночных отношений понятие полной занятости определяется равновесием спроса и предложения на рынке труда.
При этом речь идет об эффективном использовании трудовых ресурсов.
Можно отметить следующие принципы обеспечения полной занятости в период перехода к рынку:
- добровольность труда. Приоритетное право выбора между участием и неучастием в общественном труде должно принадлежать самому человеку. Сферу общественного труда в демократическом обществе надо рассматривать как одну из равноправных сфер общественно полезной деятельности —воспитание детей, организация досуга, учеба, ведение домашнего хозяйства и т.п.;
- свобода работать там и столько, где и сколько это необходимо самому человеку. В соответствии с этим принципом используются различные формы занятости — постоянная, частичная, временная, эпизодическая, совместительство, гибкие графики организации работы и др.;
- свобода выбора географического места приложения труда.






