СТРУГОВАЯ ВЫЕМКА УГЛЯ
Лекция 8
Струговая выемка осуществляется установками, разрушающими пласт угля скалыванием за счет одновременного перемещения вдоль очистного забоя и прижима к нему исполнительного органа (струга). При одном проходе струга обеспечивается подвигание забоя на определенную величину (глубину стружки), зависящую при всех прочих равных условиях от сопротивляемости угля строганию и отжима пласта. По характеру механического воздействия исполнительного органа (струга) на пласт для отделения угля струговые установки подразделяются на статические и в различной степени активного действия (вибрационные или динамические).
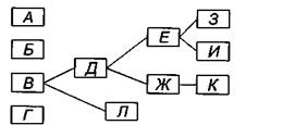
Разновидности струговых установок отмечаются многообразием их типов, отличающимися различными конструктивными классификационными признаками (рис. 8.1): А - струг без опорной плиты, тяговая лебедка в штреке; Б - активированный струг с собственным подающим механизмом или тяговым устройством; В - статический струг с приводом на конвейере и бесконечной тяговой цепью; Г - струг без направляющей на конвейере с приводом в штреке; Д - цепь расположена с забойной стороны; Ε - струг с опорной плитой; Ж - струг без опорной плиты, перемещается по раме; 3 - тяговая ветвь цепи открыта, холостая - закрыта; И - тяговая и холостая ветви цепи открыты; К - тяговая и холостая ветви цепи закрыты; Л - цепь расположена с противоположной стороны забоя, опорная плита перемещается по почве.
|
|
|
Струг без опорной плиты с использованием в качестве тягового органа канат и лебедку является основной составляющей скрепероструговых установок для выемки весьма тонких пологонаклонных пластов. На рисунке 8.2 представлена схема скреперно-струговой выемки угольных пластов мощностью 0,4-0,5 м, где 1 - двухбарабанная лебедка; 2 - направляющая балка; 4 - крепежная "лапа" балки; 5 - скреперо-струги; 6 - скалывающие резцы; 7 - разгрузочная заслонка; 8 - промежуточный канат; 9 - тяговый канат; 10 - подрезной клевак; 11 - скользящие резцы - приставки; 12 - опорной нож; 13 - цепной поводок; 14 - таранная приставка; 15 - шарнир; 16 - поворотная резцовая каретка; 17 и 18 - группы резцов; 19 - консоль; 20 и 21 - секции скреперо-струга соответственно головные и промежуточная.
При выемке тонких крутых выбрасоопасных угольных пластов, когда обеспечивается самотечная транспортировка угля вдоль забоя, не исключено применение струго-таранной установки динамического (ударного) действия (рис. 8.3).
Велись разработки других конструкций струговых установок, активизирующих разрушительное действие на пласт (рис. 8.4).

Рисунок 8.1 - Общая классификационная структура струговых установок
|
|
|

Рисунок 8.2- Скреперо-струговая канатная установка: а - схема выемки; б - схема активируемого струга со складывающимися резцами - приставками; в - общий вид головной и промежуточной секций статической скреперо-струга
с поворотными резцами
На практике наибольшее распространение получили статические струговые установки с бесконечной цепью и приводами на базе скребковых конвейеров, основные составляющие блоки (части) которых в общем виде представлены на рисунке 8.5, где 1 и 2 - приводы соответственно струговой установки и скребкового конвейера; 3 - став скребкового конвейера с направляющей струга 4 м и его плитой 5; 6 - тяговая струговая цепь; 7 - домкрат прижатия с упорной стойкой8; 9 - направляющая балка с ее распорной стойкой 10; Fn и Fн - силы соответственно прижатия струга к забою и натяжения рабочей ветви его тяговой цепи; V'c и Vc"-скорости перемещения струга соответственно в прямом и обратном направлениях; rc - глубина стружки.

Рисунок 8.3 - Струго-таранная цепная установка: а и б-схемы выемки и
работы струго-тарана; в - общий вид исполнительного органа (струго-тарана):
1 - цепь натяжного устройства, установленного на откаточном штреке;
2 - откосной лист для отбитого угля, направляемого для погрузки в вагонетки;
3 — обводной блок; 4 — струго-таран; 5 — тяговая цепь; 6 — система орошения;
7—привод с распорной рамой
Многообразие конструктивных особенностей струговых установок обусловлено различными условиями залегания пластов, их строением, прочностными свойствами угля и его маркой.
Струговые установки статического действия различают (рис. 8.6): с под-конвейерной плитой при расположении цепи со сторон забоя (см. рис. 8.6, а) и выработанного пространства (см. рис. 8.6, б), с расположением цепи со стороны забоя без портала (см. рис. 8.6, в) и с порталом (см. рис. 8.6, г), где 1 - струг; 2 - направляющие; 3 - ветви струговой цепи; 4 - домкрат прижатия; 5 и 6 - плиты соответственно подвижная и неподвижная; 7 - портал.

Рисунок 8.4- Общие виды стругов, активных действий: а - вибрационного ВИА-4 (СССР); б - тихоходного динамического "Хьювуд-Сляйсер" (Великобритания); в - стругово-комбайновый "Дрехобель " (ФРГ)

Рисунок 8.5 - Принципиальная схема статической струговой установки с приводом на скребковом конвейере и бесконечной тяговой цепью

Рисунок 8.6- Схемы компоновки струговых установок статического действия: а - с подконвейерной подвижной плитой и тяговой цепью, расположенной со стороны забоя; б - с подвижной и неподвижной плитами и цепью со стороны выработанного пространства (скользящего типа); в и г – без подконвейерных плит соответственно без опорного портала и с ним (отрывного типа)
Статические струги по своим конструктивным особенностям подразделяются на:
- тандемные, состоящие из трех шарнирно соединенных частей, две опережающие и одна основная центральная различных форм (рис. 8.7);
- с различными по конструкции режущими инструментами и схемами их размещения на корпусе струга, включая и погрузочные приспособления (рис. 8.8);
- ступенчатого и непрерывного регулирования по высоте для обеспечения полноты обработки пласта стругом (рис. 8.9);
- неуправляемые и управляемые в плоскости пласта по подвиганию очистного забоя, скользящего и отрывного действий (рис. 8.10).

Рисунок 8.7-Разновидности шарнирных статических стругов для выемки угольных пластов различной мощности: а - мостовой, б - с опережающими резцами и погрузочной головкой; в и г - с центральными частями соответственно рам треугольной и четырехугольной форм
Регулирование стругов по высоте осуществляется с применением различных приспособлений (см. рис. 8.9), где 1 - гидровставка раздвижности струга 2 с прижимающей скользящей лыжой 3; 4 - рама подвижная с осью 5 рукояти 6; 7 - шарнир гидродомкрата подъема 8; 9 и 10 - ветви тяговой цепи; 11 - поршневая система подачи режущей головки струга 12; 13 - скребковый конвейер; 14 - рама; 15 и 16 - поворотные корпуса; 17 - поворотная фиксируемая башня; 18 - стяжка; 19 и 20 - домкраты соответственно прижима и поднятия конвейеро-струга 21.
|
|
|
|
|
Управление положением струга в плоскости пласта осуществляется благодаря различным приспособлениям (см. рис. 8.10), где 1 - струг; 2 - направляющая струга; 3 - тяговая цепь; 4 и 5 - подконвейерные плиты, соответственно подвижная и неподвижная; 6 - опорная плита домкрата 7 регулирования положения стругового конвейера 8; 9 - фигурный кронштейн с шарниром 10, связанный с бортом 11; 12 - боковина рештачной секции конвейера; 13 и 14 -отверстия для соединения штока домкрата прижатия 15.
|







