Методы решения уравнения движения поезда.
Анализ уравнения движения поезда.
Чтобы решить уравнение движения поезда, нужно найти удельные ускоряющие и замедляющие силы, которые определяют из удельных сил тяги, удельных сил сопротивления движению и удельных тормозных сил во всех диапазонах скоростей движения.
При движении поезда ускоряющая сила изменяется в связи с изменением режимов работы локомотива, плана и профиля пути. Наиболее общим случаем является ускоренное или замедленное движение и только в частных случаях – равномерное.
Ускоренное движение можно получить как в режиме тяги, так и в режиме выбега и торможения при следовании на спусках, когда составляющие от веса поезда окажутся больше сил сопротивления движения или суммы сил сопротивления движения и тормозной силы.
Равномерное движение наступает при равенстве этих сил.
Замедленное движение может быть и в режиме тяги при следовании по подъему, когда сила тяги окажется меньше сил основного и дополнительного сопротивлений движению.
При решении уравнения движения поезда определяют скорости движения, путь пройденный поездом за любой промежуток времени или время, необходимое для прохождения отрезков пути, в том числе и перегонов.
1) fy > 0 – ускоренное движение, fy = const > 0 равноускоренное
2) fy < 0 – замедленное движение, fy = const < 0 равнозамедленное
3) fy = 0 – равномерное движение
Уравнение движения поезда:
для режима тяги: a = 120(fk - ω0 - ωд)
для режима выбега: a = 120(- ω0 - ωд)
для режима механического торможения: a = 120(- в т- ω0 - ωд)
Используются три метода решения уравнения движения поезда:
1. Аналитический.
2. Метод установившихся скоростей.
3. Графический.
При решении уравнения движения поезда любым способом необходимо иметь диаграмму удельных ускоряющих и удельных замедляющих сил.


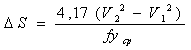
Принимается определенный интервал скорости Δ V, пусть равный 10 км/ч. В каждом интервале скорости от 0 до 10 км/ч, от 10 до 20 км/ч и так далее по диаграмме удельных ускоряющих и удельных замедляющих сил определяем fy ср. Например, в интервале от 10 до 20 км/ч
(Н/кН), затем необходимо учесть величину уклона данного профиля пути, при ξ
подсчитываем:
Аналогичным способом подсчитывают для другого профиля пути. Далее все Δ t складываем и находим время, например, для разгона поезда. Складывая всеΔ S, определяется путь, проходимый, например, при разгоне поезда.
С учетом полученных данных Δ V, Δ t, Δ S можно построить графические зависимости V (S) и t (S).






