![]() | |||
![]() |
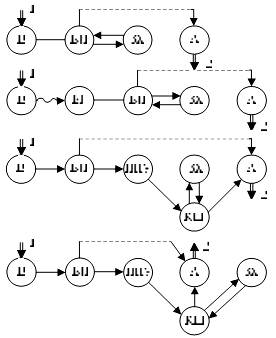
а) В...ВП…ЗХ…А
б) В…БГ…ВП…ЗХ…А
в) В…ВП…НПУ…ЗХ…А
КШ
г)
В…ВП…НПУ…А…ЗХ
КШ
В – вагон;
ВП – вилочный погрузчик;
ЗХ – зона хранения;
А – автомобиль;
БГ – бригада грузчиков;
НПУ – накопительно-передающие устройства;
КШ – кран-штабелер;
МР – манипуляционный робот;
КЛ – конвейерная линия;
СКШ – стеллажный кран-штабелер;
НУ – накопительный узел;
ПУ – передаточный узел.
![]() |
д)
е)
В…ВП…НПУ…А…ЗХ…А…НПУ…ВП…В
КШ КШ
ПУ…………..НУ……………
МР…НПУ
А… МР…НПУ ЗХ…СКШ…ЗХ
МР…НПУ
ПУ…………...НУ…………...
1. Прямой вариант (штабелирование, рис. 38, а)

ПРИМЕР:
![]() | ||
![]() |
2. Прием непакетированных грузов (штабелирование, рис. 38, б)

3. Стеллажное хранение с перпендикулярным расположение стеллажей (рис. 38, в)
![]() | ||
![]() |
4. Комбинированный способ (прямой вариант + стеллажное хранение, рис. 38, г)
![]() | |||
![]() |
5. Комбинированный сдвоенный способ (рис.38, д)

6. Автоматические ТГК на базе манипуляторов (рис. 38, е)

















