Промысловые газопроводы
Газопроводы от скважин до газосборного коллектора или УКПГ называются шлейфами. Их рассчитывают по формуле пропускной способности газопровода
(1)
где Е — коэффициент уменьшения пропускной способности шлейфа из-за наличия жидкости и отложений твердой фазы в газопроводе;
р 1, р 2 – абсолютные давления в начале и конце шлейфа, 0,1 МПа;
D — внутренний диаметр шлейфа, см;
λ = λ (Re)— коэффициент гидравлического сопротивления труб;
Δ — относительная плотность газа по воздуху;
— средние по длине трубопровода коэффициент сверхсжимаемости и абсолютная температура газа соответственно,
L — длина шлейфа, км.
На основе обработки данных промысловых исследований А.И.Ширковский получил следующие эмпирические формулы для расчета Е:
E = 1 –
(2)
при 0 £ hк £ 180 см3/м3,
2 £ u £ 11 м/с;
E = 1 –
(3)
при 180 < hк £ 180 см3/м3,
1 < u < 6 м/с;
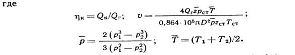
![]() |
Здесь hк — конденсатогазовый фактор (КГФ), см3/м3, Q к, Q г — расходы стабильного конденсата и сухого газа, см3/ сут и м3 /сут соответственно; v — средняя скорость газового потока в шлейфе, м/с; р ст, z ст —давление и коэффициент сжимаемости газа при стандартных условиях; T 1, T 2 — абсолютные температуры в начале и конце шлейфа, К.







