Существуют различные пространственные конфигурации конденсаторов, которые используются в емкостных датчиках:
- две близко расположенные параллельные пластины:
б) дисковый конденсатор
- сферический конденсатор;
- цилиндрический конденсатор.
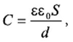
формула емкости плоского конденсатора:

где ε0 = 8,854⋅10…12 Ф/м — диэлектрическая постоянная (абсолютная диэлектрическая проницаемость вакуума);
ε — значение относительной диэлектрической проницаемости материала диэлектрика;
S — площадь перекрытия обкладок;
d — расстояние между обкладками.
Чтобы достичь изменения в емкости, необходимо:
- добиться изменения свойств диэлектрического материала;
- геометрии взаиморасположения обкладок (площади их перекрытия);
- расстояния между ними.






