Лекция 17
Идеальная жидкость, т. е. жидкость без трения, является абстракцией. Всем реальным жидкостям и газам в большей или меньшей степени присуща вязкость или внутреннее трение. Вязкость проявляется в том, что возникшее в жидкости или газе движение после прекращения действия причин, его вызвавших, постепенно прекращается.

рис. 6 Силы внутреннего трения
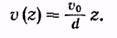
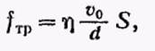
Варьируя скорость пластины v0, площадь пластин. S и расстояние между ними d, можно получить, что
(16.15)
где h — коэффициент пропорциональности, зависящий от природы и состояния (например, температуры) жидкости и называемый коэффициентом внутреннего трения или коэффициентом вязкости, или просто вязкостью жидкости (газа). Единицей вязкости в СИ является такая вязкость, при которой градиент скорости, равный 1 м/сек на 1 м, приводит к возникновению силы внутреннего трения в 1 н на 1 м2 поверхности касания слоев. Эта единица обозначается н•сек/м2. Выражение (16.15) – формула Ньютона.
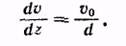
Если исследовать скорость частиц жидкости в разных слоях, то оказывается, что она изменяется в направлении 2, перпендикулярном к пластинам (рис. 6), по линейному закону

Частицы жидкости, непосредственно соприкасающиеся с пластинами, как бы прилипают к ним и имеют такую же скорость, как и сами пластины.

Или
(16.16)
Формула (16.16) получена для случая, когда скорость изменяется по линейному закону (в этом случае градиент скорости является постоянным). Однако эта формула остается справедливой и для любого другого закона изменения скорости при переходе от слоя к слою. В этом случае для определения силы трения между двумя граничащими друг с другом слоями нужно брать значение градиента в том месте, где проходит воображаемая поверхность раздела слоев.
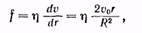
При движении жидкости в круглой трубе скорость равна нулю у стенок трубы, максимальна на оси трубы и, как можно показать, при не слишком больших скоростях течения изменяется вдоль любого радиуса по закону
(16.17)
скорость на расстоянии r от оси трубы (рис. 154). Проведем в жидкости мысленно цилиндрическую поверхность радиуса r. Части жидкости, лежащие по разные стороны от этой поверхности, действуют друг на друга,
с силой, величина которой в расчете на единицу поверхности равна
(16.18)

рис. 7
т. е. возрастает пропорционально расстоянию поверхности раздела от оси трубы (знак «—», получающийся при дифференцировании (16.17) по r, отброшен, поскольку формула (16.18) дает лишь модуль силы внутреннего трения).