Турбулентное и ламинарное течение. Законы гидродинамического подобия. Критерий Рейнольдса. Лобовое сопротивление при обтекании тел. Парадокс Даламбера. Подъемная сила. Формула Жуковского. Эффект Магнуса.
Возвращаясь к предыдущей лекции, вспомним, что скорость стационарного течения идеальной жидкости по трубе зависит от расстояния от центра трубы r следующим образом

А расход жидкости можно определить

Кинетическая энергия, ежесекундно переносимая потоком жидкости через поперечное сечение трубы, определяется выражением

Или, после интегрирования

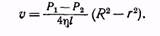
Работа, ежесекундно производимая над жидкостью разностью давлений Р1 — Р2, определяется выражением 
Или

Такую же по величине, но противоположную по знаку работу производят силы внутреннего трения, так как при стационарном течении кинетическая энергия жидкости остается неизменной: А' = — А. Исключив разность давлений, получим

При течении жидкости по трубе можно пренебречь силами вязкости (применять уравнение Бернулли), если потеря кинетической энергии жидкости, обусловленная действием сил вязкости, пренебрежимо мала по сравнению с кинетической энергией самой жидкости, т. е.
Это приводит к условию

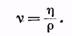
Здесь буквой v обозначена так называемая кинематическая вязкость, т. е. отношение 
Рассмотрим поток жидкости, обтекающий какое-нибудь тело или систему тел. Наряду с этой системой можно ввести бесконечное множество подобных и подобно расположенных тел, обтекаемых другими жидкостями. Чтобы оба потока были механически подобны, необходимо найти соотношения между характерными величинами, описывающими потоки. Если подобие имеет место, то, зная картину течения для первой системы тел, можно однозначно предсказать течение жидкости и для другой, геометрически подобной, системы тел. Это важно в судостроении и самолетостроении. Вместо реальных кораблей или самолетов испытываются их уменьшенные геометрически подобные модели, а затем путем пересчета определяется поведение реальных систем. Простейший метод решения поставленной задачи дает теория размерностей.
Между величинами
должна существовать функциональная связь. Из них можно составить шесть независимых безразмерных комбинаций. Сюда относятся два отношения
,
и еще четыре безразмерных числа:
- число Рейнольдса
- число Фруда
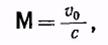
число Маха
число Струхаля
Согласно правилу размерности одна из этих безразмерных комбинаций является функцией остальных, например

Если для двух течений пять из шести безразмерных комбинаций, перечисленных выше, совпадают, то будут совпадать и шестые. Это — общий закон подобия течений, а сами течения называются механически или гидродинамически подобными.
По порядку величины число Рейнольдса есть отношение кинетической энергии жидкости к потере ее, обусловленной работой сил вязкости на характерной длине. Число Рейнольдсаопределяет относительную роль инерции и вязкости жидкости при течении. При больших числах Рейнольдса основную роль играет инерция, при малых — вязкость.
Число Рейнольдса, конечно, определено не вполне четко, поскольку оно содержит характерную длину и характерную скорость, которые сами определены не четко. Это число, как и все остальные безразмерные числа в законе подобия, определено лишь по порядку величины. Если размеры тела в разных направлениях примерно одинаковы, то особой неопределенности не возникает. Если же это не так, то в качестве характерной длины могут быть выбраны разные величины, которые могут отличаться друг от друга значительно. Например, при течении жидкости по трубе за характерную длину можно взять длину трубы, ее радиус или какую-либо промежуточную величину. Соответствующие числа Рейнольдса могут отличаться на много порядков. Какое из этих чисел взять — зависит от поставленной задачи.
Аналогичный смысл имеет число Фруда F. Оно по порядку величины определяет отношение кинетической энергии жидкости к приращению ее, обусловленному работой силы тяжести на пути, равному характерной длине. Чем больше число Фруда, тем больше роль инерции по сравнению с тяжестью и наоборот.






