Для схемы на рис. 6.19 запишем уравнение по второму закону Кирхгофа. Умножим левую и правую части уравнения на сопряженный комплекс тока


где
- результирующее реактивное сопротивление;
I2- квадрат модуля тока.

где
- полная комплексная, активная и реактивная мощности источника питания.

где
- активная и реактивная мощности, потребляемые элементами схемы.
Получим уравнение
. (6.24)
Рис. 6.19
Два комплексных числа равны, если равны по отдельности их вещественные и мнимые части, следовательно уравнение (6.24) распадается на два:
. (6.25)
Полученные равенства выражают законы сохранения активных и реактивных мощностей.
6.12. Согласованный режим работы электрической цепи.
Согласование нагрузки с источником
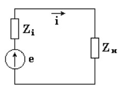
В схеме на рис. 6.20
- полное, активное и реактивное сопротивления источника ЭДС,
- полное, активное и реактивное сопротивления нагрузки.
Активная мощность может выделяться только в активных сопротивлениях цепи переменного тока.
Активная мощность, выделяемая в нагрузке,
. (6.26)
Активная мощность, развиваемая генератором
|
|
|
.
Коэффициент полезного действия для данной схемы:
.
Рис. 6.20
Из формулы (6.26) видно, что выделяемая в нагрузке мощность будет максимальной, когда знаменатель минимален. Последнее имеет место при
, т.е. при
. Это означает, что реактивные сопротивления источника и нагрузки должны быть одинаковы по модулю и иметь разнородный характер. При индуктивном характере реактивного сопротивления источника реактивное сопротивление нагрузки должно быть емкостным и наоборот.
. (6.27)
Установим условие, при котором от источника к нагрузке будет передаваться наибольшая мощность.
.
отсюда
.
От источника к нагрузке передается наибольшая мощность, когда
.
. (6.28)
Величина наибольшей мощности
.
Режим передачи наибольшей мощности от источника к нагрузке называется согласованным режимом, а подбор сопротивлений согласно равенствам (6.28) - согласованием нагрузки с источником.
В согласованном режиме
.
Половина мощности теряется внутри источника. Поэтому согласованный режим не используется в силовых энергетических цепях. Этот режим используют в информационных цепях, где мощности могут быть малыми, и решающими являются не соображения экономичности передачи сигнала, а максимальная мощность сигнала в нагрузке.






