Мгновенной мощностью называют произведение мгновенного напряжения на входе цепи на мгновенный ток.
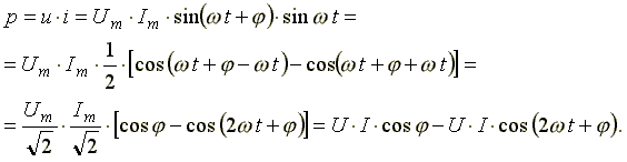
Пусть мгновенные напряжение и ток определяются по формулам:


Тогда
(6.23)
Среднее значение мгновенной мощности за период

Из треугольника сопротивлений
, а
.
Получим еще одну формулу:
.
Среднее арифметическое значение мощности за период называют активной мощностью и обозначают буквой P.
Эта мощность измеряется в ваттах и характеризует необратимое преобразование электрической энергии в другой вид энергии, например, в тепловую, световую и механическую энергию.
Возьмем реактивный элемент (индуктивность или емкость). Активная мощность в этом элементе
, так как напряжение и ток в индуктивности или емкости различаются по фазе на 90o. В реактивных элементах отсутствуют необратимые потери электрической энергии, не происходит нагрева элементов.
Происходит обратимый процесс в виде обмена электрической энергией между источником и приемником. Для качественной оценки интенсивности обмена энергией вводится понятие реактивной мощности Q.
Преобразуем выражение (6.23):

где
- мгновенная мощность в активном сопротивлении;
- мгновенная мощность в реактивном элементе (в индуктивности или в емкости).
Максимальное или амплитудное значение мощности p2 называется реактивной мощностью

,
где x - реактивное сопротивление (индуктивное или емкостное).
Реактивная мощность, измеряемая в вольтамперах реактивных, расходуется на создание магнитного поля в индуктивности или электрического поля в емкости. Энергия, накопленная в емкости или в индуктивности, периодически возвращается источнику питания.
Амплитудное значение суммарной мощности p = p1 + p2 называется полной мощностью.
Полная мощность, измеряемая в вольтамперах, равна произведению действующих значений напряжения и тока:

,
где z - полное сопротивление цепи.
Полная мощность характеризует предельные возможности источника энергии. В электрической цепи можно использовать часть полной мощности
,
где
- коэффициент мощности или "косинус "фи".
Коэффициент мощности является одной из важнейших характеристик электротехнических устройств. Принимают специальные меры к увеличению коэффициента мощности.
Возьмем треугольник сопротивлений и умножим его стороны на квадрат тока в цепи. Получим подобный треугольник мощностей (рис. 6.18).
Из треугольника мощностей получим ряд формул:
,
,
Рис.6.18
,
.
При анализе электрических цепей символическим методом используют выражение комплексной мощности, равное произведению комплексного напряжения на сопряженный комплекс тока.
Для цепи, имеющей индуктивный характер (R-L цепи)
,
где
- комплекс напряжения;
- комплекс тока;
- сопряженный комплекс тока;
- сдвиг по фазе между напряжением и током.
, ток как в R-L цепи, напряжение опережает по фазе ток.
Вещественной частью полной комплексной мощности является активная мощность.
Мнимой частью комплексной мощности - реактивная мощность.
Для цепи, имеющей емкостной характер (R-С цепи),
. Ток опережает по фазе напряжение.
.
Активная мощность всегда положительна. Реактивная мощность в цепи, имеющей индуктивный характер, - положительна, а в цепи с емкостным характером - отрицательна.