Фенолоформальдегидная смола. Фенолоформальдегидная смола (ФФС) является важнейшим представителем из группы фено-лоальдегидных полимеров, получаемых при поликонденсации фенола или его гомологов (крезола, ксиленола) с формальдегидом или другими альдегидами, например уксусным или масляным. Аналогичные смолы получают также путем поликонденсации фенола с фурфуролом.
Формальдегид (НСОН) — газ, образующийся в результате переработки метилового спирта или метана. Раствор формальдегида в воде известен под названием «формалин». Фенол (С6Н5ОН) — белое кристаллическое вещество с характерным запахом. Фенол выделяют из каменноугольной или сланцевой смолы, а также синтезируют из пропилена и бензола.
При поликонденсации фенола с альдегидами могут быть получены смолы двух типов: термопластичные, называемые новолач-ными, и термореактивные, называемые резольными.
Резольные (бакелитовые) смолы образуются в щелочной среде при избытке формальдегида и только в случае трифункциональ-ных фенолов. Новолачные смолы образуются на основе как три-функциональных, так и бифункциональных фенолов. Смола получается поликонденсацией при избытке фенола и в кислой среде. Макромолекулы новолачной смолы имеют линейную структуру. Новолачная смола, плавкая и растворимая, может быть переведена в нерастворимую и неплавкую форму путем добавления гек-саметилентетрамина (уротропина) и последующего нагревания. При повышенной температуре в присутствии воды уротропин разлагается на аммиак и формальдегид. Последний реагирует с новолачным олигомером с образованием трехмерной структуры.
|
|
|
Этим свойством пользуются на практике для отверждения новолачной смолы при получении пластмасс.
На основе фенолоформальдегидных синтетических смол с наполнителями, красителями, отвердителями получают конструкционные материалы — фенопласты. Изготавливают также литые изделия без наполнителей (неолейкорит, литой карболит, литой резит и др.), применяемые главным образом в галантерее. Спиртовые растворы резольной смолы, называемые бакелитовым лаком, применяют в качестве клея и для антикоррозионной защиты металлов.
Карбамидная смола. Мочевиноформальдегидная смола (МФС) входит в группу аминоальдегидных полимеров, другим распространенным представителем которой является меламиноформаль-дегидный полимер — продукт поликонденсации формальдегида с меламином.
Карбамидная смола получается поликонденсацией мочевины и формальдегида в водном растворе. По физико-химическим свойствам она имеет много общего с ФФС, однако отличается от пос ледней отсутствием цвета и запаха, светостойкостью и нетоксичностью.
|
|
|
Карбамидная смола применяется так же, как и ФФС, для изготовления прессовочных масс с различными наполнителями. Композиции на ее основе можно окрашивать в любые цвета. Отвержденная карбамидная смола безвредна для человека, поэтому ами-нопласты часто используют для изготовления пищевой тары.
Полиэфирные смолы. Это название объединяет четыре различные группы сложных полиэфиров: 1) алкидные смолы; 2) волокнообразующие полиэфирные смолы; 3) ненасыщенные полиэфирные смолы; 4) поликарбонаты. В основной цепи всех перечисленных полимеров регулярно повторяются сложноэфирные группы —СО —О —.
Алкидные смолы являются наиболее распространенной группой пленкообразующих веществ, составляющей до 70 % объема всей синтетической лакокрасочной продукции. Они применяются также в качестве клеев, заливочных масс, пластификаторов поливи-нилхлорида, а также для изготовления композиций с каучуком. Из алкидных полиэфиров наиболее известны глифталевые и пентафталевые смолы. Они относятся к сложным полиэфирам, модифицированным растительными маслами (тунговым, льняным, подсолнечным, хлопковым и др.) или жирными кислотами. Отверждение алкидов в покрытиях может происходить как за счет дальнейшей поликонденсации разветвленных полиэфиров (при температуре выше 150 °С), так и вследствие окислительной полимеризации радикалов ненасыщенных жирных кислот-модификаторов (при комнатной температуре).
К волокнообразующим полиэфирным смолам относится полиэти-лентерефталат (лавсан, терилен, дакрон), представляющий собой полиэфир этиленгликоля и терефталовой кислоты. Это — линейный кристаллический полимер с температурой плавления около 265 "С. Кроме волокон и тканых материалов из него изготавливают пленки и некоторые изделия (трубки, прокладки, ремни, транспортерные ленты и т.д.).
Ненасыщенные полиэфирные смолы получают поликонденсацией ненасыщенных дикарбоновых кислот, чаще всего малеино-вой или фумаровой с многоатомными спиртами. Благодаря наличию в таких полиэфирах двойных связей между атомами углерода они способны к дальнейшей полимеризации и сополимеризации с различными мономерами. Молекулярная масса их не превышает 1 500... 2 500.
Ненасыщенная полиэфирная смола часто представляет собой 60 —75%-й раствор непредельного полиэфира в стироле, играющем двоякую роль: растворителя и сшивающего агента. Переход вязкожидкого раствора в твердое неплавкое и нерастворимое состояние происходит вследствие сополимеризации полиэфира и стирола. Процесс отверждения не сопровождается выделением каких-либо летучих побочных продуктов и может происходить в обычных условиях.
Присущее армированным ненасыщенным полиэфирам (стеклопластикам) сочетание высокой механической прочности, химической стойкости и малой плотности поставило их в один ряд с конструкционными материалами, такими как сталь, древесина, бетон.
Поликарбонаты — это сложные полиэфиры угольной кислоты с общей формулой [—О — R—О — СО — ]. Наибольшее практическое значение получил поликарбонат на основе дифенилпропана, выпускаемый под названиями: «Дифлон» (Россия), «Лексан» и «Мер-лон» (США), «Макролон» и «Макрофол» (ФРГ). Свойства поликарбонатов зависят от строения и соотношения исходных компонентов. Молекулярная масса полимеров составляет 25000...70000, но может доходить до 200 000. Температура плавления дифенилолп-ропана составляет 220...230"С. Поликарбонаты хорошо растворимы в хлорированных углеводородах, фенолах и др. Их отличает высокая атмосферо- и водостойкость, а также устойчивость к воздействию кислот и щелочей. Важными свойствами дифлона являются высокая ударная прочность и высокая прозрачность.
|
|
|
Изделия из поликарбонатов получают литьем под давлением, экструзией, вакуумным прессованием. Соединение частей можно осуществлять сваркой, склеиванием, горячей штамповкой.
В строительстве цельные и сотовые листы поликарбоната используются для остекления зданий, выполнения прозрачных кровель и декоративных перегородок, используются в создании малых архитектурных форм различных павильонов и укрытий. Цельный листовой поликарбонат легко может быть изогнут без нагрева, что используется при создании выпуклых форм световых фонарей, кровель, навесов. Сотовый (пустотный) поликарбонат в отличие от цельного обладает хорошими тепло- и звукоизоляционными свойствами.
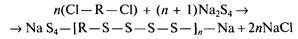
Полисульфидные (тиоколовые) каучуки. Полисульфидные кау-чуки являются продуктом поликонденсации алифатических дига-логенпроизводных с ди- или полисульфидом натрия:

Получаются линейные насыщенные полимеры. Поликонденсация осуществляется при температуре 80... 100 °С в водной дисперсии.
Различают тетра- и дисульфидные полимеры. Все тетрасуль-фидные полимеры каучукоподобны независимо от R. Дисульфидные полимеры обладают свойствами эластомеров, если углеводородный радикал содержит более четырех атомов углерода.
Тиоколы вулканизуются оксидами или перекисями металлов. При вулканизации происходит увеличение молекулярной массы, так как сшиваются концы линейных цепей, а поперечные связи отсутствуют.
Тиоколы выпускаются в виде твердых эластичных или жидких продуктов. Это зависит от молекулярной массы. Жидкие тиоколы используются для получения мастик и герметиков.






