Тема 2.3 Метод конечных элементов
Лекция 11
Метод построения глобальной матрицы жесткости весьма неэффективен при использовании цифровой вычислительной машины. Эта неэффективность объясняется тем, что матрица жесткости отдельного элемента [Ке] имеет такое же число строк и столбцов, что и глобальная матрица жесткости [К]. Большинство коэффициентов в матрице элемента равно нулю. Предположим, что область разбита на 50 элементов с 75 узловыми точками и нужно построить матрицу элемента [Ке]. Матрица элемента должна содержать 75 строк и столбцов с общим числом коэффициентов 752=5625. Из этих коэффициентов 5616 должны равняться нулю, так как для рассмотренной задачи о кручении матрица элемента содержит только девять ненулевых коэффициентов.
Дополнительные неудобства связаны с тем, что глобальная матрица жесткости [К] получается суммированием матриц жесткости элементов [Ke], [К] =2 [№>']. Матрица каждого элемента должна быть вычислена отдельно от [К] и затем прибавлена к последней, а это требует запоминания обеих матриц. Необходимость помнить две большие матрицы приводит к перегрузке запоминающего устройства, когда решаемая задача имеет большое число неизвестных.
|
|
|
В эффективных программах процедура построения глобальной матрицы жесткости использует сокращенную форму матриц элементов при получении уравнений для элемента. Такой метод известен как метод «прямой жесткости». Применение этого метода исключает необходимость хранения больших матриц элементов, содержащих всего несколько отличных от нуля коэффициентов.
При использовании этого метода сначала рассматривается [Ке] для конкретного элемента. Все глобальные степени свободы Ф (или и в случае векторных величин), которые не относятся к этому элементу, исключаются из рассмотрения. Функции формы записываются в соответствии с порядком следования индексов i, j, k, начиная с узла I, в направлении против часовой стрелки. Рассмотрим, например, элемент (3) на рис. 3.

Этому элементу соответствуют узлы 2, 5 и 4 и глобальные степени свободы Ф2, Ф5 и Ф4. После упорядочивания функций формы в направлении против часовой стрелки,.начиная от узла I, последнее. соотношение в сокращенном виде записывается как
(1)
Матрица градиентов имеет вид
(2)
Значения коэффициентов cj и bj могут быть вычислены, если заданы координаты узлов элемента. После подстановки этих значений в [ВРЦ соотношение (2) примет вид
(3)
Подставляя [ВМ] в сокращенной форме в равенство (6.8) и выполняя умножение и интегрирование, получаем
(4)
Таким образом, в результате мы имеем матрицу размером 3X3 вместо матрицы размером 6x6, данной в (6.19в). Матрица элемента имеет размер 3X3, потому что этому элементу соответствуют три глобальные степени свободы.
|
|
|
Применив подобную процедуру к интегралу

получим
(5)
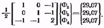
С помощью формул (4) и (5) уравнения для данного элемента можно записать следующим образом:
(6)
Чтобы полученная матрица соответствовала точной матрице жесткости третьего элемента, ее нужно переформировать и расширить. Алгоритм переформирования и расширения матрицы несложен.
Строкам и столбцам сокращенной матрицы элемента приписываются номера глобальных степеней свободы. Порядок расположения степеней свободы соответствует обходу элемента против часовой стрелки, начиная от j-го узла.
Матрицы элементов в задаче о кручении имеют только одну степень свободы (искомую величину) в каждом узле, поэтому функции формы в (1) упорядочены так же, как и глобальные степени свободы. Используя указанную нумерацию для строк и столбцов матрицы (4), запишем

Приписывание столбцам и строкам матрицы элемента номеров глобальных степеней свободы позволяет определить, какое место займут коэффициенты матрицы элемента в глобальной матрице жесткости. Например, коэффициент Кi, заключенный в квадрат матрицы (7), находится иа пересечении второй строки и четвертого столбца глобальной матрицы жесткости. Коэффициент К. заключенный в треугольник, находится на пересечении четвертой строки и пятого столбца. Расположение всех коэффициентов матрицы элемента в глобальной матрице жесткости показано на рис. 1.

Рис..1. Незаполненные прямоугольники соответствуют нулевым элементам.
Метод прямой жесткости построения глобальной матрицы жесткости является очень важным алгоритмом реализации метода конечных элементов на ЭВМ, потому что он значительно сокращает загрузку запоминающего устройства. В частности, он исключает необходимость запоминания больших матриц элементов, которые содержат всего несколько ненулевых коэффициентов. Число строк и число столбцов сокращенной матрицы жесткости элемента равны числу степеней свободы элемента.






