Структурная надежность
Структурная надежность любого радиоэлектронного аппарата, в том числе и ЭВМ, его результирующая надежность при известной структурной схеме и известных значениях надежности всех элементов, составляющих структурную схему. При этом под элементами понимаются как интегральные микросхемы, резисторы, конденсаторы и т. п., выполняющие определенные функции и включенные в общую электрическую схему ЭВМ, так и элементы вспомогательные, не входящие в структурную схему ЭВМ: соединения паяные, разъемные, элементы крепления и т. д. Надежность указанных элементов достаточно подробно изложена в специальной литературе. При дальнейшем рассмотрении вопросов надежности ЭВМ будем исходить из того, что надежность элементов, составляющих структурную (электрическую) схему ЭВМ, задана однозначно.
Для их нахождения составляют структурную схему ЭВМ и указывают элементы устройства (блоки, узлы) и связи между ними. Затем производят анализ схемы и выделяют те ее элементы и связи, которые определяют выполнение основной функции данного устройства. Далее из выделенных основных элементов и связей составляют функциональную (надежностную) схему, причем в ней выделяют элементы не по конструктивному, а по функциональному признаку с таким расчетом, чтобы каждому функциональному элементу обеспечивалась независимость, т. е. чтобы отказ одного функционального элемента не вызывал изменения вероятности появления отказа у другого - соседнего функционального элемента. Поэтому при составлении отдельных надежностных схем (устройств узлов, блоков) иногда следует объединять те конструктивные элементы, отказы которых взаимосвязаны, но не влияют на отказы других элементов. Определение количественных показателей надежности ЭВМ с помощью структурных схем дает возможность решать вопросы выбора наиболее надежных функциональных элементов, узлов, блоков, из которых состоит ЭВМ, наиболее надежных конструкций ТЭЗ панелей, рам, стоек, пультов, тумб, рационального порядка эксплуатации, профилактики и ремонта ЭВМ, состава и количества ЗИП. При построении надежностных структурных схем используют последовательное, параллельное и последовательно-параллельное включение элементов

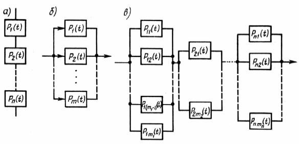
Рис. 12.2. Схемы последовательного (а), параллельного (б) и параллельно-последовательного (в) включения элементов в надежностной структурной схеме
При последовательном включении элементов (рис. 12.2, а) для надежной работы схемы необходима работа всех функциональных элементов. Тогда вероятность безотказной работы схемы будет равна произведению вероятностей безотказной работы всех функциональных
элементов:

где n – число элементов надежностной схемы.
Для случая экпоненциального распределения наработки до отказа Pi(t)=exp[- lit ] (среднее время наработки на отказ составит:

Для другого простейшего случая построения структурной схемы параллельного соединения элементов (рис. 12.2, б) вероятности отказов для каждого из элементов, входящих в схему,
Qi(t)=1-Pi(t)
Отказ всей схемы будет иметь место тогда, когда откажут все элементы, т.е.

где m-число параллельно соединенных элементов. При этом вероятность безотказной работы всей схемы

Для экпоненциального распределения наработки до отказа среднее время наработки на отказ составит

В общем случае при смешанном параллельно-последовательном соединении элементов (рис. 11.2, в) следует найти вероятность безотказной работы для каждой из цепочек параллельно включенных элементов, а затем для всей схемы. Для схемы, приведенной на рис. 11.2, в, результирующая вероятность безотказной работы
