На физическом уровне к МАС-кадрам (MPDU) добавляется заголовок физического уровня, состоящий из преамбулы и собственно PLCP-заголовка (рис. 3.5).

Рис. 3.5. Структура кадров сети IEEE 802.11b физического уровня
Преамбула содержит стартовуюсинхропоследовательность (SYNC) для настройки приемника и 16-битный код начала кадра (SFD) - число F3A016. PLCP-заголовок включает поля SIGNAL (информация о скорости и типе модуляции), SERVICE (дополнительная информация, в том числе о применении высокоскоростных расширений и PBCC-модуляции) и LENGTH (время в микросекундах, необходимое для передачи следующей за заголовком части кадра). Все три поля заголовка защищены 16-битной контрольной суммой CRC.
В стандарте IEEE 802.11b предусмотрено два типа заголовков: длинный и короткий (рис. 3.6).

Рис. 3.6. Короткий заголовок кадров сети 802.11b
Они отличаются длиной синхропоследовательности (128 и 56 бит), способом ее генерации, а также тем, что символ начала кадра в коротком заголовке передается в обратном порядке. Кроме того, если все поля длинного заголовка передаются со скоростью 1 Мбит/с, то при коротком заголовке преамбула транслируется на скорости 1 Мбит/с, другие поля заголовка - со скоростью 2 Мбит/с. Остальную часть кадра можно передавать на любой из допустимых стандартом скоростей передачи, указанных в полях SIGNAL и SERVICE. Короткие заголовки физического уровня предусмотрены спецификацией IEEE 802.11b для увеличения пропускной способности сети.
|
|
|
Из описания процедур связи сети IEEE 802.11 видно, что "накладные расходы" в этом стандарте выше, чем в проводной сети Ethernet. Поэтому крайне важно обеспечить высокую скорость передачи данных в канале. Повысить пропускную способность канала с заданной шириной полосы частот можно, разрабатывая и применяя новые методы модуляции. По этому пути пошла группа разработчиков IEEE 802.11b.
Напомним, что изначально стандарт IEEE 802.11 предусматривал работу в режиме DSSS с использованием так называемой Баркеровской последовательности (Barker) длиной 11 бит: В1 = (10110111000). Каждый информационный бит замещается своим произведением по модулю 2 (операция "исключающее ИЛИ") с данной последовательностью, т. е. каждая информационная единица заменяется на B1, каждый ноль - на инверсию B1. В результате бит заменяется последовательностью 11 чипов. Далее сигнал кодируется посредством дифференциальной двух- или четырехпозиционной фазовой модуляции (DBPSK или DQPSK, один или два чипа на символ соответственно). При частоте модуляции несущей 11 МГц общая скорость составляет в зависимости от типа модуляции 1 и 2 Мбит/с.
Стандарт IEEE 802.11b дополнительно предусматривает скорости передачи 11 и 5,5 Мбит/с. Для этого используется так называемая ССК-модуляция (ComplementaryCodeKeying - кодирование комплементарным кодом).
|
|
|
Хотя механизм расширения спектра, используемый для получения скоростей 5,5 и 11 Мбит/с с применением ССК, относится к методам, которые применяются для скоростей 1 и 2 Мбит/с, он по-своему уникален. В обоих случаях применяется метод расширения, но при использовании модуляции ССК расширяющий код представляет собой код из 8 комплексных чипов, в то время как при работе со скоростями 1 и 2 Мбит/с применяется 11-разрядный код. 8-чиповый код определяется или 4, или 8 битами - в зависимости от скорости передачи данных. Скорость передачи чипов составляет 11 Мчип/с, т.е. при 8 комплексных чипах на символ и 4 или 8 битов на символ можно добиться скорости передачи данных 5,5 и 11 Мбит/с.
Для того чтобы передавать данные со скоростью 5,5 Мбит/с, нужно сгруппировать скрэмблированный поток битов в символы по 4 бита (b0, b1, b2 и bЗ). Последние два бита (b2 и bЗ) используются для определения 8 последовательностей комплексных чипов, как показано в таблице таблице 3.2, где {cl, с2, сЗ, с4, с5, с6, с7, с8} представляют чипы последовательности. В таблице 3.2 j представляет мнимое число, корень квадратный из -1, и откладывается по мнимой, или квадратурной, оси комплексной плоскости.
| Таблица 3.2. Последовательность чипов ССК | ||||||||
| (b2, bЗ) | С1 | С2 | С3 | С4 | С5 | С6 | С7 | С8 |
| j | j | -1 | j | -1 | ||||
| -j | -1 | -j | j | -j | ||||
| -j | -j | -1 | -j | j | ||||
| j | -1 | j | -j | j |
Теперь, имея последовательность чипов, определенную битами (b2, bЗ), можно использовать первые два бита (b0, b1) для определения поворота фазы, осуществляемого при модуляции по методу DQPSK, который будет применен к последовательности (таблица 3.3).
| Таблица 3.3. Поворот фазы при модуляции ССК | ||
| (b0,b1) | Изменение фазы четных символов | Изменение фазы нечетных символов |
| ||
| | |
| ||
| |
Вы должны также пронумеровать каждый 4-битовый символ PSDU, начиная с 0, чтобы можно было определить, преобразуете вы четный либо нечетный символ в соответствии с этой таблицей. Следует помнить, что речь идет об использовании DQPSK, а не QPSK, и поэтому представленные в таблице изменения фазы отсчитываются по отношению к предыдущему символу или, в случае первого символа PSDU, по отношению к последнему символу предыдущего DQPSK-символа, передаваемого со скоростью 2 Мбит/с.
Это вращение фазы применяется по отношению к 8 комплексным чипам символа, затем осуществляется модуляция на подходящей несущей частоте.
Чтобы передавать данные со скоростью 11 Мбит/с, скрэмблированная последовательность битов PSDU разбивается на группы по 8 символов. Последние 6 битов выбирают одну последовательность, состоящую из 8 комплексных чипов, из числа 64 возможных последовательностей, почти так же, как использовались биты (b2, bЗ) для выбора одной из четырех возможных последовательностей. Биты (b0,b1) используются таким же образом, как при модуляции ССК на скорости 5,5 Мбит/сдля вращения фазы последовательности и дальнейшей модуляции на подходящей несущей частоте.
В чем достоинство ССК-модуляции? Дело в том, что чипы символа определяются на основе последовательностей Уолша-Адамара. Последовательности Уолша-Адамара хорошо изучены, обладают отличными автокорреляционными свойствами. Что немаловажно, каждая такая последовательность мало коррелирует сама с собой при фазовом сдвиге - очень полезное свойство при борьбе с переотраженными сигналами. Нетрудно заметить, что теоретическое операционное усиление ССК-модуляции - 3 дБ (в два раза), поскольку без кодирования QPSK-модулированный с частотой 11 Мбит/с сигнал может транслировать 22 Мбит/с. Как видно, ССК-модуляция представляет собой вид блочного кода, а потому достаточно проста при аппаратной реализации. Совокупность этих свойств и обеспечила ССК место в стандарте IEEE 802.11b в качестве обязательного вида модуляции.
|
|
|
На практике важно не только операционное усиление. Существенную роль играет и равномерность распределения символов в фазовом пространстве - они должны как можно дальше отстоять друг от друга, чтобы минимизировать ошибки их детектирования. И с этой точки зрения ССК-модуляция не выглядит оптимальной, ее реальное операционное усиление не превышает 2 дБ. Поэтому изначально прорабатывался другой способ модуляции - пакетное бинарное сверточное кодирование РВСС (PacketBinaryConvolutionalCoding). Этот метод вошел в стандарт IEEE 802.11b как дополнительная (необязательная) опция. Механизм РВСС (рис. 3.7) позволяет добиваться в сетях IEEE 802.11b пропускной способности 5,5, 11 и 22 Мбит/с.

Рис. 3.7. Общая схема РВСС-модуляции
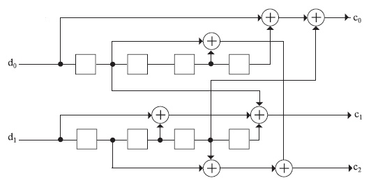
Как следует из названия, метод основан на сверточном кодировании. Для скоростей 5,5 и 11 Мбит/с поток информационных битов поступает в шестиразрядный сдвиговый регистр с сумматорами (рис. 3.8).

Рис. 3.8. Сверточное кодирование с двумя битами кодовой последовательности
В начальный момент времени все триггеры сдвигового регистра инициализируют нулем. В результате каждый исходный бит d заменяется двумя битами кодовой последовательности (c0, c1). При скорости 11 Мбит/с с0 и c1 задают один символ четырехпозиционной QPSK-модуляции. Для скорости 5,5 Мбит/с используют двухпозиционную BPSK-модуляцию, последовательно передавая кодовые биты c0 и с1. Если же нужна скорость 22 Мбит/с, схема кодирования усложняется (рис. 3.9): три кодовых бита (c0-c2) определяют один символ в 8-позиционной 8-РSК-модуляции.

Рис. 3.9. Сверточное кодирование с тремя битами кодовой последовательности
После формирования PSK-символов происходит скрэмблирование. В зависимости от сигнала s (рис. 3.7) символ остается без изменений (s = 0), либо его фаза увеличивается на
(s = 1). Значение s определяет 256-битовая циклически повторяющаяся последовательность S. Она формируется на основе начального вектора U = 338Bh, в котором равное число нулей и единиц.
У шестиразрядного сдвигового регистра, применяемого в РВСС для скоростей 11 и 5,5 Мбит/с, 64 возможных выходных состояния. Так что при модуляции РВСС информационные биты в фазовом пространстве оказываются гораздо дальше друг от друга, чем при ССК-модуляции. Поэтому РВСС и позволяет при одном и том же соотношении "сигнал-шум" и уровне ошибок вести передачу с большей скоростью, чем в случае ССК. Однако плата за более эффективное кодирование - сложность аппаратной реализации данного алгоритма.
|
|
|






