ПРИЛОЖЕНИЕ
Контрольные вопросы
Рисунок 7.6 - Конструкция морского ОК с регенераторами
Рисунок 7.5 - Конструкция морского ОК без регенераторов
Рисунок 7.4 - Оптический кабель для прокладки через озера и реки
Рисунок 7.3 - Конструкция подвесных кабелей
Рисунок 7.1 - Конструкция ОК для прокладки в земле
1 - ОВ; 2 - заполнитель ОМ; 2 - трубка ОМ; 4 - ЦСЭ; 5 - кордель; 6 - ГЗ сердечника; 7 - скрепляющая обмотка; 8 - армирующий слой; 9 - оболочка; 10(1) - гофрированная броня; 10(2) - подушка под броню; 11 - ГЗ брони; 12 - ленточная броня; 13 - шланг.
Оболочка из полиэтилена служит защитой от проникновения влаги. Гофрированная стальная оболочка защищает кабель от повреждения при прокладке и грызунов. Наружный слой из полиэтилена уменьшает трение кабеля при его прокладке. Гидрофобный заполнитель кабеля препятствует проникновению внутрь влаги. При этом оптические характеристики ОВ при эксплуатации не ухудшаются. Общий диаметр кабеля (Дн) составляет 14…25 мм.
Минимальный радиус изгиба кабеля 20 D, максимально допустимое усилие растяжения от 2,5 до 4,0 кН.
Кабели для прокладки в каналах кабельной канализации, трубах и коллекторах должны иметь высокую механическую стойкость к растягивающим и изгибающим нагрузкам, продавливанию, кручению, влаге. Прокладку этих кабелей осуществляют протяжкой строительной длины в трубы, выполненные из полиэтилена, асбестоцемента или бетона. Длина участков для прокладки ОК может составлять от 100 до 500 м.
Конструкция кабеля (рисунок 7.2.а) содержит сердечник с армирующим элементом в виде стального троса или стеклопластикового стержня, вокруг которого скручены ОВ в полимерной оболочке, наложенной в виде трубки. Герметизация ОВ достигается через заполнение трубок желеобразным составом. Количество ОВ может достигать от 2 до 72 и более.

а)

б)

в)
Рисунок 7.2 - Конструкция ОК для прокладки в трубах и коллекторах:
а - модульная, б - с профильным сердечником, в - с центрально расположенным модулем: 1 - ОВ; 2 - трубка модуля; 3 - силовой элемент; 4 - заполняющий компаунд; 5 - пластиковая пленка; 6 - защитный шланг из ПЭ; 7 - профилированный сердечник; 8 - водоблокирующая лента; 9 - ленты с волокнами.
На рисунке 7.2.б в качестве примера приведена многопрофильная конструкция ОК с большим числом ОВ фирмы Alcatel. В пазах профильного модуля применяется как укладка одного ОВ, так и многоволоконная укладка. Причем в последнем случае укладка ОВ может быть ленточной. На рисунке 7.2.в приведена конструкция так называемых легких ОК фирмы Lucent Technologies (США). Эти ОК имеют сердечник в виде пластмассовой трубки с ленточной укладкой (до 96) ОВ. Трубка заполнена гидрофобным заполнителем. В качестве силового элемента используются две группы периферийно расположенных стеклопластиковых стержней. Для прокладки этих кабелей в кабельную канализацию нашел достойное место метод вдувания [10].
Кабели для воздушной подвески делятся на самонесущие диэлектрические, самонесущие c несущим тросом, навивные и встроенные в грозозащитный трос или провод высоковольтных линий электропередачи.
Самонесущие кабели используются при подвеске на опорах воздушных линий связи и высоковольтных ЛЭП, контактной сети железнодорожного транспорта, а также на стойках воздушных линий городской телефонной сети. Диэлектрическая конструкция таких ОК имеет круглую форму, что снижает нагрузки, создаваемые ветром и льдом, и позволяет использовать кабель при больших расстояниях между опорами (до 100 метров и более). В качестве силового элемента таких ОК используется ЦСЭ из стеклопластика и пряжа из арамидных нитей, заключенная между полиэтиленовой оболочкой и полиэтиленовым защитным шлангом (рисунок 7.3.а).

а)

б)
а - диэлектрический самонесущий кабель, б - самонесущий кабель с тросом: 1 - ОВ; 2 - трубка модуля; 3 - центральный силовой элемент; 4 - оболочка ЦСЭ; 5 - гидрофобный заполнитель; 6 - ПЭ оболочка; 7 - стальная гофрированная лента; 8 - защитный шланг; 9 - стальной трос; 10 - арамидная пряжа.
Для прокладки в сельских районах, а также для устройства переходов от одного здания к другому могут применяться ОК с несущим тросом (рисунок 7.3.б). Конструкция самонесущих кабелей с металлическим тросом имеет форму восьмерки; несущий трос вынесен отдельно от оптического сердечника и скрепляется с ним в единую конструкцию ПЭ оболочкой. В обоих видах кабелей свободное пространство заполнено ГЗ, но возможно использование водоблокирующих нитей и лент для уменьшения веса и ускорения процесса монтажа.
Кабели для подводной прокладки имеют конструкцию, зависящую от места их прокладки. Так например, глубоководный ОК для прокладки на дне морей и океанов имеет защиту от гидростатического давления, а кабель для прокладки на мелководье или в прибрежной полосе обеспечивается защитой от сетей и якорей. Также учитывается гибкость, нагрузки на кабель при его прокладке и извлечении со дна. Для защиты ОК от воздействия морской воды, которая под высоким давлением легко проникает через пластмассу, сердечник кабеля обычно защищается одной алюминиевой или свинцовой трубкой, а свободное пространство заполняется гидрофобом. Для необходимой механической прочности используется, как правило, двухслойная проволочная броня из гальванизированной стали. Слои проволоки скручиваются в противоположных направлениях для исключения возможности образования петель.
Одна из возможных конструкций ОК для прокладки через водоемы представлена на рисунке 7.4.

1 - ОВ в первичном покрытии; 2 - трубка модуля; 3 - ЦСЭ; 4 - гидрофобное заполнение; 5 - внутренняя оболочка из ПЭ, наложенная сверх скрепляющей пластиковой пленки; 6 - стальная гофрированная лента; 7 - внутренняя оболочка из ПЭ; 8 - подушка под броню; 9 - броня из стальной проволоки; 10 - защитный шланг из ПЭ.
Морские ОК разделяют на кабели с регенераторами и без них.
Морской ОК без регенераторов предназначен для прокладки между островами для преодоления небольших водных преград (рек, озер, каналов и пр.). предполагаемая длина такого ОК не превышает 50 км. В его конструкцию входит броня, поскольку он предназначен для прокладки по мелководью, а ОВ имеет трехслойное покрытие (первичное, буферное, вторичное, защитное).

1 - внешний слой армирующих проволок; 2 - внутренний слой армирующих проволок; 3 - оболочка; 4 - медная трубка; 5 - полиэтилен; 6 - ОВ; 7 - внутренний проводник.
Подводный ОК с регенераторами используется для больших расстояний и может прокладываться как на глубине, так и на мелководье (рисунок 7.6).
Оптический морской кабель связи должен обеспечивать постоянство своих характеристик при воздействии значительных гидростатических давлений; перемещении по дну моря под влиянием течений и волн, взаимодействии с тралами, якорями, сетями и пр. предметами.

а - ОВ скручены и помещены в общую силиконовую оболочку; б - ОВ в профилированном сердечнике: 1 - оболочка; 2 - полиэтиленовая оболочка; 3 - армирующие элементы, скрученные в разные стороны; 4 - медная трубка; 5 - нейлоновая оболочка; 6 -ОВ; 7 - внутренний проводник; 8 - медный профилированный сердечник; 9 - полиэтиленовая лента.
1. Опишите основные типы конструкции ОК.
2. Для чего на оптическое волокно наносится полимерное покрытие?
3. Опишите принципы маркировки ОК.
4. Перечислите основные компоненты ОК.
5. Объясните назначение центрального силового элемента, назовите типы ЦСЭ.
6. Назовите типы бронепокровов ОК.
7. Какие марки кабелей предназначены для прокладки в грунт?
8. Какие марки кабелей предназначены для прокладки в кабельной канализации?
9. Какие марки кабелей предназначены для подвески?
Основные формулы для расчета параметров
волоконных световодов [11]
Показатель преломления среды:
,(П2.1)
где
- магнитная проницаемость среды;
- диэлектрическая проницаемость среды.
Относительное значение показателя преломления оптического волокна:
,(П2.2)
где n1 – показатель преломления сердцевины оптического волокна;
n2 – показатель преломления оболочки оптического волокна.
Показатель преломления сердцевины градиентного оптического волокна (при параболическом распределении показателя преломления)
,(П2.3)
где n0 – показатель преломления в центре сердцевины;
r – текущий радиус, мкм;
а – радиус сердцевины волокна, мкм.
Числовая апертура
.(П2.4)
Нормированная частота
,(П2.5)
где а – радиус сердцевины волокна, мкм;
– длина волны, мкм.
Число распространяемых мод:
, (П2.6)
где u – показатель степени изменения профиля показателя преломления (для ступенчатого волокна u=
, а для градиентного волокна u=2).
Потери энергии на поглощение:
, дБ/км,(П2.7)
где n1 – показатель преломления сердцевины оптического волокна;
tg
- тангенс угла диэлектрических потерь материала сердцевины ОВ;
– длина волны, км.
Потери на рассеяние:
, дБ/км,(П2.8)
где Кр – коэффициент рассеяния, (для кварца равный 0,8 (мкм4* дБ)/км);
– длина волны, мкм.
Величина уширения импульсов в оптическом волокне:
,(П2.9)
где tивх – ширина импульса на входе;
tивых – ширина импульса на выходе (значения берутся на уровне половины амплитуды импульсов).
Модовая дисперсия в многомодовых волокнах со ступенчатым профилем показателя преломления:
, при L
Lc, (П2.10)
, при L>Lc, (П2.11)
где Lс – длина связи мод, равная (5
7) км.
Модовая дисперсия в градиентных волокнах:
, при L
Lc, (П2.12)
и
, при L > Lc, (П2.13)
где Lс – длина связи мод, равная (10
15) км.
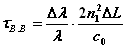
Дисперсия материальная:
(П2.14)
или
,(П2.15)
где М(
) – удельная материальная дисперсия;
(
) – ширина спектральной характеристики;
L – длина линии.
Волноводная дисперсия:
(П2.16)
или
,(П2.17)
где В(
) – удельная волноводная дисперсия.
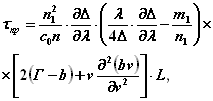
Уширение импульсов из-за профильной дисперсии:
(П2.18)
где n – эффективный показатель преломления [
];
b – нормированная постоянная распространения;
m1 – групповой показатель преломления сердцевины;
Г – коэффициент локализации по мощности;
– нормированная частота;
с0 – скорость света;
=(n1-n2)/n1;
n1 и n2 – показатели преломления сердцевины и оболочки;
- длина передаваемой волны;
L – длина линии.
Результирующее значение уширения импульсов за счет модовой, материальной, волноводной и профильной дисперсий:
.(П2.19)
Ширина полосы пропускания ОВ:
, МГц,(П2.20)
где k – коэффициент, учитывающий форму оптического импульса (от 0,44 при гауссовско форме импульса до 0,6 при прямоугольных импульсах);
- уширение импульса.
Ширина полосы пропускания оптического волокна при известной нормированной полосе пропускания на один километр (
F1) для коротких линий, меньших, чем длина установившегося режима (Lx<Lc):
(П2.21)
Критическая частота:
, Гц,(П2.22)
где c0 – скорость света;
n1 и n2 – показатели преломления сердцевины и оболочки;
Рnm – значения корней функции Бесселя для различных типов волн;
d – диаметр сердцевины оптического волокна.
Критическая длина волны:
, мкм,(П2.23)
где n1 и n2 – показатели преломления сердцевины и оболочки;
Рnm – значения корней функции Бесселя для различных типов волн;
d – диаметр сердцевины оптического волокна.
Личная гигиена — отрасль гигиены, изучающая вопросы сохранения и укрепления здоровья человека путём соблюдения гигиенического режима его жизни и деятельности. Пациент, лечащийся в стационаре, большую часть времени находится в постели, поэтому важным условием для его хорошего самочувствия и выздоровления является постельный комфорт. Соблюдение правил личной гигиены, содержание в чистоте палаты и постели создают условия для скорейшего выздоровления пациентов и предупреждают развитие многих осложнений. Адекватный уход является залогом успеха лечения тяжелобольных. Чем тяжелее состояние пациента, тем сложнее за ним ухаживать, труднее выполнять любые манипуляции. Необходимо четко знать методику манипуляций, уметь их выполнять. Все манипуляции по личной гигиене пациента медицинская сестра должна выполнять в перчатках. М/с помогает пациенту в удовлетворении гигиенических потребностей в случае невозможности реализовать их самому.
Независимые сестринские вмешательства:
u процедуры личной гигиены (смена постельного и нательного белья, гигиена кожи, утренний туалет и т.д.);
u удовлетворение физиологических потребностей (кормление пациента, приём адекватного количества жидкости и т.д.);
u удовлетворение физиологических отправлений (подача судна, мочеприёмника);
Зависимые сестринские вмешательства:
u проведение каких-либо манипуляций по назначению врача (проведение инъекций, перевязок, раздача лек. препаратов, физиотерапевтические процедуры, постановка клизм, введение мочевого катетера и др.).
Принципы ухода за пациентом:
• безопасность (предупреждение травматизма пациента);
• конфиденциальность (подробности личной жизни не должны быть известны
посторонним);
• уважение чувства достоинства (выполнение всех процедур с согласия пациента, обеспечение уединения, если необходимо);
• общение (расположение пациента и членов его семьи к беседе, обсуждение
хода предстоящей процедуры и плана ухода в целом);
• независимость (поощрение каждого пациента к самостоятельности);
• инфекционная безопасность (осуществление соответствующих мероприятий).
Личная гигиена пациента включает ежедневный утренний и вечерний туалет по уходу за телом. В него входит комплекс мероприятий по уходу за лицом, промежностью и всем телом.