Рассмотрим идеальный одноатомный газ и попытаемся определить давление, которое оказывает этот газ на стенки сосуда с идеально отражающими стенками (рис. 6.2).

Рисунок 6.2 – Ёмкость с идеально отражающими стенками
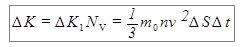
То есть будем считать, что удары молекул о стенки – абсолютно упругие. Предположим также, что все молекулы движутся вдоль трех взаимно перпендикулярных направлений, так что в любой момент времени вдоль каждого направления движется 1/3 от общего числа всех молекул, причём половина из этого числа (т.е. 1/6) движется по направлению к стенке, а вторая половина – от стенки. За время D t площадки D S достигнут только те молекулы, которые находятся в прямом цилиндре объёмом V = D Sv D t. Число таких молекул будет равно N V = (1/6) n D Sv D t. Каждая молекула при ударе о стенку передаст ей импульс D K 1 = m 0 v – (– m 0 v) =2m 0 v. Общий импульс D К, переданный площадке DS за время D t, будет равен произведению D K 1– импульса, полученного при ударе одной молекулы, на число ударов молекул о стенку. Это число ударов равно N V – числу молекул, достигших площадки D S за время D t. Следовательно,
|
|
|
.
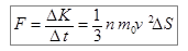
Импульс, передаваемый стенке за единицу времени, согласно второму закону Ньютона, равен силе, действующей на эту площадку:
. (6.7)
После деления выражения (6.7) на площадь D S получим давление, которое оказывает газ на стенки сосуда:
(6.8)
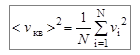
Полученное выражение (6.8) требует уточнения. В реальном газе молекулы движутся во всевозможных направлениях и с различными величинами скоростей. Эту разницу мы учтем, если в формулу (6.8) подставим среднее значение квадрата скорости:
. (6.9)
Введенную соотношением (6.9) скорость принято называть средней квадратичной скоростью. С учётом выражения (6.9) выражение для давления (6.8) примет вид
. (6.10)
Выражение (6.10) называется основным уравнением молекулярно-кинетической теории газов. Это уравнение связывает макроскопический параметр – давление газа Р – с характеристиками молекул. Отметим, что точный расчёт с учётом всевозможных направлений движения молекул также даёт ту же самую формулу.






