ЛЕКЦИЯ 8. РАСПРЕДЕЛЕНИЕ БОЛЬЦМАНА
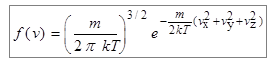
Формулу Максвелла:
, (8.1)
можно преобразовать так, чтобы она давала ответ на вопрос, какова вероятность того, что молекулы имеют величину скорости от
до
независимо от направления движения молекулы. Это легко сделать, если ввести в рассмотрение воображаемое пространство скоростей (рис. 8.1).

Рисунок 8.1 – Пространство скоростей
По осям системы координат в этом пространстве мы будем откладывать проекции вектора скорости
. Роль радиус-вектора в этом пространстве играет вектор скорости молекулы
. Нетрудно сообразить, что каждой молекуле в реальном пространстве соответствует строго свой вектор скорости
в пространстве скоростей. Как мы уже знаем, выражение
дает число молекул, проекции скорости которых лежат в пределах от
до
. Применительно к пространству скоростей это выражение дает число векторов, концы которых попадают в прямоугольный параллелепипед объемом dv x dv y dv z. Положение этого параллелепипеда в пространстве скоростей задается вектором
(см. рис. 8.1). Одинаковым значениям модуля скорости v в пространстве скоростей соответствует сфера радиуса v, а значениям модуля v+dv – сфера радиуса v+dv (см. рис. 8.1). Теперь мы можем сказать, что число молекул, величина скорости которых лежит в интервале от v до v+dv, равно числу векторов
, концы которых попадают в шаровой слой, ограниченный указанными сферами. Число таких векторов прямо пропорционально объему шарового слоя –
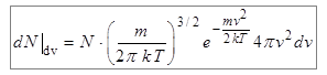
. Следовательно, число молекул, величина скорости которых лежит в интервале от v до v+dv, описывается выражением
, (8.2)
а функция распределения по модулям скоростей имеет вид (рис 8.2)
. (8.3)

Рисунок 8.2 – График функции распределения по модулям скоростей
Площадь под кривой на этом рисунке равна 1 в соответствии с условием нормировки. При увеличении температуры максимум кривой на рисунке 8.2 уменьшается и смещается вправо, но площадь, ограниченная кривой, остаётся неизменной.
Исходя из распределения молекул по скоростям (8.3), можно перейти к распределению по энергиям кинетического движения молекул. Для этого в выражении (8.3) от переменной v нужно перейти к кинетической энергии поступательного движения молекулы
. Сделаем замену
и
в формуле (8.3). В результате получим:
,
где
. И, соответственно, количество молекул, имеющих кинетическую энергию в интервале от Е к до Е к +dЕ к, описывается выражением:
. (8.4)






