Внутренняя энергия. Под внутренней энергией тела понимают сумму кинетической энергии хаотического движения молекул и потенциальной энергии взаимодействия молекул

ЛЕКЦИЯ 9. ПЕРВОЕ НАЧАЛО ТЕРМОДИНАМИКИ

Под внутренней энергией тела понимают сумму кинетической энергии хаотического движения молекул и потенциальной энергии взаимодействия молекул, составляющих это тело. При вычислении внутренней энергии не должны учитываться кинетическая энергия движения всего тела и потенциальная энергия тела во внешнем силовом поле. Также во внутреннюю энергию не входит внутриатомная энергия.

Внутренняя энергия системы тел складывается из суммы внутренних энергий каждого из тел в отдельности и энергии межмолекулярного взаимодействия между телами системы. Для макроскопических тел количество молекул на поверхностях, через которые происходит взаимодействие тел, намного меньше числа молекул внутри объема этих тел. Поэтому энергией взаимодействия можно пренебречь и считать, что внутренняя энергия системы тел равна сумме внутренних энергий каждого из тел. Таким образом, внутренняя энергия системы – аддитивная функция.

Расчет внутренней энергии произвольного тела является очень сложной задачей, которую удается решить только для некоторых простых частных случаев. Это связано, с одной стороны, с неполнотой наших знаний о силах межмолекулярного взаимодействия, а с другой стороны – с огромным количеством частиц, из которых состоят реальные тела. Очень просто вычисляется внутренняя энергия идеального газа. Напомним, что для идеального газа можно пренебречь потенциальной энергией взаимодействия молекул. Поэтому внутренняя энергия идеального газа складывается из кинетических энергий отдельных молекул. Средняя кинетическая энергия одной молекулы равна (формула (6.16)):

,

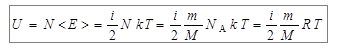
где iчисло степеней свободы молекулы, kпостоянная Больцмана, Т – температура газа. Если в газе содержится N молекул, то внутренняя энергия идеального газа будет равна

. (9.1)

При записи формулы (9.1) мы воспользовались равенством

,

и учли, что универсальная газовая постоянная равна R = NA k. Из формулы (9.1) следует, что внутренняя энергия идеального газа определяется только одним термодинамическим параметром – температурой Т. В общем случае внутренняя энергия зависит от всех термодинамических параметров, характеризующих состояние тела. Но из формулы (9.1) следует один практический вывод. Так как кинетической энергией теплового движения обладают молекулы произвольного тела, а температура есть мера кинетической энергии теплового движения молекул, то признаком изменения внутренней энергии для любого тела является изменение температуры тела.

Подчеркнем, что не всегда изменение внутренней энергии сопровождается изменением температуры. Пример этого фазовые переходы (плавление – кристаллизация, испарение конденсация), при которых внутренняя энергия изменяется при постоянной температуре. Но, кроме этих особых случаев, этот признак оказывается справедливым.

Внутренняя энергия является функцией состояния системы. Это означает, что внутренняя энергия однозначно характеризует систему в положении равновесия и что всегда в данном состоянии, независимо от того, как система пришла в это состояние, её внутренняя энергия одна и та же.





Подборка статей по вашей теме: