| Число редких | Среднее | число | редких событий (х) | |||||
| событий (т) | 0,1 | 0.2 | о.з | | 0,4 | | 0,5 | 1,0 | 1,5 | 2,0 |
| ООП | ||||||||
Примечание. В таблице нуль целых и запятая опущены.
Когда известны х и т, то по таблице 15 находим, что при х — = 0,4 и т — 3 вероятность появления трех уродов Ртз = 0,0072. Вероятность появления двух уродов — Ртг = 0,0536, одного — Ргщ = 0,2681 и отсутствие уродов — Рто = 0,6703.
Трансгрессивные ряды. Они характеризуются тем, что две или несколько кривых вариационных рядов лежат не отдельно, а заходят в большей или меньшей части друг на друга. Если два трансгрессивных ряда объединить и построить вариационную кривую, то обычно образуется двухвершинная кривая (рис. 33). В данном примере она указывает на то, что бурые латвийские и джерсейские помесные коровы различаются по содержанию жира в молоке, но часть животных имеет одинаковую жирномолочность.
|
|
|
Бывают случаи, когда сильно различающиеся трансгрессивные ряды не обнаруживают двухвершинности. Чем больше трансгрессия, тем более сходны два вариационных ряда. Если

Рис. 33. Двухвершинная кривая распределения по содержанию жира в молоке коров одного хозяйстве, построенная без учета их породы, и кривые распределения но каждой нз двух иород в отдельности (по О. А. Ивановой, 1974):
/ — по всему стаду; 2— помеси с джерсейской породой; 3 — коровы бурой латвийской породы
трансгрессия отсутствует, то кривые не соприкасаются друг с другом.
При изучении изменчивости нельзя объединять в одну группу животных разных пород, неодинакового возраста, выращенных в различных условиях среды и т. д.
КРИТЕРИЙ ХИ-КВАДРАТ (х2)
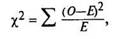
При анализе результатов скрещивания организмов исследователь почти всегда сталкивается с положением, когда фактическое расщепление в большей или меньшей степени отличается от теоретически ожидаемого. Поэтому возникает необходимость оценить степень соответствия фактических данных теоретически ожидаемым. Это достигается путем вычисления критерия соответствия у} и сравнением полученной величины с табличным значением (с учетом числа степеней свободы). Критерий у2 является положительной величиной и изменяется от нуля до бесконечности. Если х2 = О» то наблюдается полное соответствие фактического расщепления теоретически ожидаемому. С увеличением разности между эмпирическими и теоретическими частотами возрастает величина у}, и при превышении определенного табличного значения различия, между фактическим и теоретическим расщеплением будут достоверными. При сравнении достоверности разности между двумя и более группами для изучения влияния определенных факторов в изменчивости признаков наряду с дисперсионным и другими методами применяется и более простой критерий хи-квадрат. Критерий у} также используют для изучения связи между признаками (особенно имеющими качественные градации). Однако у} указывает не на степень связи, а только на ее наличие или отсутствие. Критерий у} вычисляют по формуле
|
|
|

где О —фактически наблюдаемая величина; Е — теоретически (гипотетически) ожидаемая величина.
Число степеней свободы при использовании хи-квадрата. При
оценке нормального и биномиального распределения из числа

классов вариационного ряда вычитается 2 или 3. Если фактическое и_ теоретическое распределение совпадают но двум параметрам (х и и), то v = п — 2, а если по трем (х, п, а), то v = п — 3. При четырех (2 х 2) и многопольных таблицах (2 х 3, 2 х 4 и т. д.) используют формулу

где г— число горизонтальных строк; с — число вертикальных столбцов.
При распределении Пуассона v = п — 2. При изучении полиморфизма белков число степеней свободы равно числу феноти-пических классов минус число аллелей. При скрещиваниях число степеней свободы равно числу фенотипических классов минус единица. Так, если расщепление по фенотипу 3: 1 или 9:7, tov = 2— 1 = 1, если расщепление 1:2:1, tov-3 — 1 = 2, при расщеплении 9:3:3:1 v = 4 — 1 = 3.
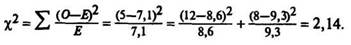
Определим степень соответствия фактического распределения семейств по количеству больных туберкулезом коров теоретически ожидаемому, которое было вычислено при рассмотрении биномиального распределения. Данные приведены в таблице 16.
16. Соответствие фактического распределения семейств теоретически ожидаемому (биномиальному)

При использовании х2 для оценки соответствия распределения вариант в вариационном ряду биномиальному или нормальному нужно, чтобы число вариант в крайних классах было не менее 5. Более точные результаты получаются также тогда, когда в выборке имеется 50 вариант и более. В связи с тем что число вариант в крайних классах нашего вариационного ряда меньше 5, мы объединим три первых класса и два последних. Критерий X2 оказался равным 2,14:

Так как имеется три фенотипических класса, то число степеней свободы v = и — 2 = 3 — 2=1. По таблице 17 находим значение х2, которое при v = 1 и р - 0,95 составит 3,8. Поскольку
фактическая величина х2 (2,14) меньше табличной (3,8), то различия между фактическим распределением и теоретически ожидаемым недостоверны. Поэтому можно сделать вывод: фактическое распределение семейств по количеству больных туберкулезом коров соответствует теоретически ожидаемому (в данном случае биномиальному).
Пример. Изучена связь антигена На Н-системы групп крови свиней с синдромом злокачественной гипертермии (см. табл. 17). Среди свиней с антигеном На было 20,8 % чувствительных к синдрому злокачественной гипертермии, а среди животных, не имеющих этого антигена, — 7,9 %.

Находим число степеней свободы v = (г— 1)(с — 1) = (2 — 1)(2 — 1) = 1.
Табличное значение х2 при v = 1 составляет 3,8 — 6,6 — 10,8 (табл. 18). Так как фактическая величина (11) больше табличного значения (10,8), нулевая гипотеза отвергается с высоким уровнем вероятности (р > 0,999).
17. Синдром злокачественной гипертермии (MHS) у свиней с различными генотипами
18. Стандартные значения критерия %
| Число степе- | Вероятность | (Р) | Число степе- | Вероятность | (Р) | ||
| ней свободы | ней свободы | ||||||
| (v) | 0,95 | 0,99 | 0,999 | (v) | 0,95 | 0,99 | 0,999 |
| 3,8 | 6,6 | 10,8 | 19,7 | 24,7 | 31,3 | ||
| 6,0 | 9,2 | 13,8 | 21,0 | 26,2 | 32,9 | ||
| 7,8 | И.З | 16,3 | 22,4 | 27,7 | 34,5 | ||
| 9,5 | 13,3 | 18,5 | 23,7 | 29,1 | 36,1 | ||
| 11,1 | 15,1 | 20,5 | 25,0 | 30,6 | 37,7 | ||
| 12,6 | 16,8 | 22,5 | 26,3 | 32,0 | 39,3 | ||
| 14,1 | 18,5 | 24,3 | 27,6 | 33,4 | 40,8 | ||
| 15,5 | 20,1 | 26,1 | 28,9 | 34,8 | 42,3 | ||
| 16,9 | 21,7 | 27,9 | 30,1 | 36,2 | 43,8 | ||
| 18,3 | 23,2 | 29,6 | 31,4 | 37,6 | 45,3 |
Вывод. Животные, имеющие антиген На, более чувствительны к синдрому злокачественной гипертермии.
|
|
|
Можно рассчитать и относительный риск (К) возникновения MHS по формуле

ft a(c+d) 25(15+175) ?,-Л"" с(а+й) ~ 15(25+95) ~ '
*
Следовательно, относительный риск возникновения синдрома злокачественной гипертермии у свиней с антигеном На равен 2,6, что значительно выше, чем у животных без этого антигена.






