СРЕДНИМИ АРИФМЕТИЧЕСКИМИ ДВУХ ВЫБОРОЧНЫХ
ОЦЕНКА ДОСТОВЕРНОСТИ РАЗНОСТИ МЕЖДУ
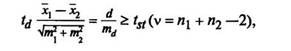
При сравнении средних арифметических двух генеральных совокупностей любая разность между ними будет достоверна. В ветеринарии, зоотехнии и т. д. приходится сравнивать между собой средние величины не генеральных совокупностей, а выборочных (породы, линии, семейства, опытная и контрольная группы и т. д.). Поэтому необходимо установить достоверность разности между средними двух групп. Недостаточно, например, знать, что 20 дочерей какого-то производителя превосходят по удою своих матерей. Следует, кроме того, вычислить критерий достоверности разности, чтобы с определенной вероятностью судить о том, что следующие 100, 200 и т. д. дочерей этого производителя также будут превосходить по молочности своих матерей в аналогичных условиях. Для оценки достоверности разности между средними арифметическими двух выборочных совокупностей применяется критерий достоверности (td), который вычисляют по формуле
|
|
|

где mi, тг — ошибки сравниваемых выборочных средних арифметических х\, хг; d —разность между средними арифметическими х\, хг; пц — средняя ошибка выборочной разности; <«— стандартное значение критерия, определяемое по таблице Стьюдента (табл. 13) с учетом числа степеней свободы (v) для трех уровней вероятности; п\, пг — численность сравниваемых групп.
13. Стандартные значения критерия Стьюдента (Ut) при трех уровнях
вероятности (р)
| Число | Уровень вероятности | Число | Уровень вероятности | ||||
| степеней | степеней | ||||||
| свободы (v) | 0,95 | 0,99 | 0,999 | свободы (V) | 0,95 | 0,99 | 0,999 |
| 1 • | 12,71 | 63,66 | 637,0 | 2,12 | 2,92 | 4,02 | |
| 4,30 | 9,93 | 31,60 | 2,11 | 2,90 | 3,97 | ||
| 3,18 | 5,84 | 12,94 | 2,10 | 2,88 | 3,92 | ||
| 2,78 | 4,60 | 8,61 | 2,09 | 2,86 | 3,88 | ||
| 2,57 | 4,03 | 6,86 | 2,09 | 2,85 | 3,85 | ||
| 2,45 | 3,71 | 5,96 | 2,08 | 2,83 | 3,82 | ||
| 2,37 | 3,50 | 5,41 | 2,07 | 2,82 | 3,79 | ||
| 2,31 | 3,36 | 5,04 | 2,07 | 2,81 | 3,77 | ||
| 2,26 | 3,25 | 4,78 | 2,06 | 2,80 | 3,75 | ||
| 2,23 | 3,17 | 4,59 | 2,06 | 2,79 | 3,73 | ||
| И | 2,20 | 3,11 | 4,44 | 2,06 | 2,78 | 3,71 | |
| 2,18 | 3,06 | 4,32 | 2,05 | 2,77 | 3,69 | ||
| 2,16 | 3,01 | 4,22 | 2,05 | 2,76 | 3,67 | ||
| 2,15 | 2,98 | 4,14 | 2,05 | 2,76 | 3,66 | ||
| 2,13 | 2,95 | 4,07 | 2,04 | 2,75 | 3,65 | ||
| оо | 1,96 | 2,58 | 3,29 |
Пример. Нужно установить, различаются ли дочери двух быков по титру лизоцима в крови, если получены следующие показатели:


Для этого определяем
По таблице 13 с учетом числа степеней свободы v = Hi + яг — 2 = 30 + 28 — 2 = 56 находим значения tst (нижняя строка), которые равны: при р = 0,95 fe = 1,96; при р = 0,99 fa = 2,58 и при р = 0,999 fa = 3,29. Сравниваем величину & с fa. Здесь возможны два вывода: 1) если & равен или больше значения fa для первого уровня вероятности (td & fa), то разность между средними арифметическими двух групп статистически достоверна; 2) если td меньше значения tst для первого уровня вероятности, то разность между средними арифметическими двух групп статистически недостоверна. В нашем примере td = 2,06 больше значения fa = 1,96 для первого уровня вероятности (0,95), н» меньше fa = 2,58 для второго уровня вероятности (0,99). Поэтому нужно сделать следующий вывод: разность между потомством двух производителей по титру лизоцима в крови достоверна с вероятностью р > 0,95. У дочерей первого быка более высокий титр лизоцима в крови.
|
|
|
Статистический анализ изменчивости по качественным признакам. Средняя арифметическая для качественных признаков отражает долю или процент особей, имеющих данный признак. Например, в одном хозяйстве из 1030 коров заболело лейкозом 28 голов и 1002 остались здоровыми. В этом случае совокупность состоит из двух групп: первая — больные животные, вторая — здоровые. Численность первой группы обозначим р\, численность второй — ро, общую численность — п. Тогда долю больных (т. е. имеющих изучаемый признак) животных (р) определяют по формуле

Здесь р соответствует средней арифметической (х) при количественной изменчивости. Доля здоровых животных (д) составляет

| Среднее квадратическое отклонение вычисляют по формуле |
Я = * = Ш= 0>973, или 97,3%.

Средняя ошибка. Частота качественного признака, выраженная в долях единицы или в процентах, также имеет свою ошибку:

Ошибка является одинаковой для доли больных и здоровых животных: р±т = 0,027 + 0,005; д±т = 0,973 + 0,005, или 2,7 ± 0,5 и 97,3 ± 0,5 %.
Определим долю больных дочерей: рх = 39: 82 = 0,476 и Ру = 11: 80=0,138. Вычислим тх и ту.

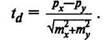
Определение достоверности разности между выборочными долями или процентами. В одном стаде из 82 дочерей быка № 25588 заболели бруцеллезом 39, а из 80 дочерей быка № 1406— 11. Необходимо установить, различаются ли производители по восприимчивости дочерей к бруцеллезу. Для этого воспользуемся формулой

По таблице 13 с учетом числа степеней свободы v = пх + + пу — 2 = 82 + 80 — 2 = 160 находим значения tst (последняя строка), которые равны 1,96; 2,58; 3,29. Так как величина td = 14,9 больше tst = 3,29 для третьего уровня вероятности, можно сделать вывод: разность между быками-производителями по частоте заболевания дочерей бруцеллезом достоверна с вероятностью р > 0,999. Это значит, что дочери быка № 25588 отличаются большей восприимчивостью к бруцеллезу, чем потомство производителя № 1406.






