Рисунок 3.70
|
Датчик скорости на базе тахогенератора постоянного тока представлен на рисунке 3.70.
Етг = См×Ф×W = Uдс.
Если Ф = const, то Етг º W.
Для стабилизации потока двигателя Фдв осуществляют:
а) магнитную систему ТГ делают насыщенной, т.е. рабочая точка лежит за коленом (см. рисунок 3.71);
Рисунок 3.71
|
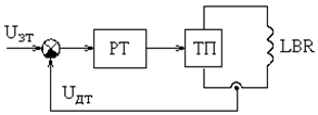
б) питание цепи ОВ тахогенератора от источника стабилизированного тока (см. рисунок 3.72).
Рисунок 3.72
|
На рисунке 3.72 приняты обозначения: РТ – регулятор тока; ТП – тиристорный преобразователь.
в) применение ТГ с возбуждением от постоянных магнитов.
Передаточная функция датчика скорости в этом случае
.
Для ЭП с глубоким диапазоном регулирования 1:1000 и более ТГ должен иметь напряжение не менее 20В при 1000 об/мин.
.
Рисунок 3.70
Рисунок 3.71
Рисунок 3.72






