Замкнутые системы АЭП стабилизации скорости
Цель оптимизации: при известных параметрах объекта подбор такого регулятора, при котором будут получены желаемые динамические и статические характеристики контура.
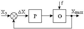
Рисунок 5.1
|
В соответствии с рисунком 5.1, передаточная функция замкнутого контура
.
Если WрWо >> 1, то
.
Реально, с учетом датчика обратной связи, передаточная функция замкнутого контура
.
Если WрWоWдос >> 1, то
.
®
;
®
.
Решение идеальной задачи оптимизации вступает в противоречие с техническими и экономическими возможностями. Реально при оптимизации инерционности объекта с помощью регулятора компенсируют насколько это возможно и насколько это разумно для сохранения помехоустойчивости системы.
При анализе контуров регулирования в системах АЭП встречаются в основном два вида передаточных функций замкнутых контуров регулирования
а)
;
b0 = a0; b1 = a1.
;
при 2а0а2 = а12.
б)
;
при 2а0а2 = а12 2а1а3 = а22.
В случае а) контур регулирования оптимизируют на модульный оптимум, в случае б) – на симметричный оптимум.
Рисунок 5.1






