Одной из важных задач при оценке эффективности систем управления является определение затрат на их создание и эксплуатацию. Поскольку затраты на создание и эксплуатацию i -х локальных АИСУ (АИСУ научными исследованиями, АИСУ проектированием – САПР, АИСУ технологическими процессами – АИСУ ТП, АИСУ проектами) по составляющим элементам капитальных вложений и эксплуатационным расходам идентичны, появляется возможность создания типового аппарата расчета этих затрат для какой-либо одной i -ой локальной АИСУ. В случае оценки затрат на ИАИСУ идет процесс суммирования затрат на все локальные АИСУ и затрат, связанных с их взаимоувязкой.
Сумма всех затрат на создание и эксплуатацию i -ой локальной АИСУ состоят из совокупности капитальных вложений и эксплуатационных (текущих) затрат. В свою очередь капитальные вложения состоят из затрат на проектирование, приобретение необходимого оборудования, строительство (реконструкцию) зданий и сооружений, внедрение проекта. Элементы капитальных вложений по фазам инвестиционного проекта состоят из следующих затрат:
|
|
|
· анализ и оценка инвестиционных возможностей;
· анализ и выбор эффективного варианта системы управления;
· разработка ПТЭО, ТЭО;
· разработка ТЗ;
· создание правовой, финансовой и организационной основы;
· разработка эскизного проекта;
· разработка технического проекта;
· разработка рабочего проекта;
· строительство (реконструкция) зданий и сооружений;
· приобретение оборудования;
· набор и обучение персонала;
· внедрение проекта.
Эксплуатационные затраты (Cπti) на i -ю локальную АИСУ состоят из следующих составляющих:
основная и дополнительная заработная плата работников, эксплуатирующих i -ю локальную АИСУ, с учетом отчислений в социальные фонды;
· затраты на содержание и амортизацию зданий и сооружений, занимаемых i -й локальной АИСУ;
· затраты на содержание и амортизацию оборудования, задействованного в i -й локальной АИСУ;
· затраты на содержание и амортизацию служебно-бытовых помещений, занимаемых при эксплуатации i -й локальной АИСУ;
· затраты на запасные части и на ремонт (включая капитальный) оборудования, зданий и сооружений;
· затраты на расходные материалы;
· затраты на энергию, приходящуюся на i -ю локальную АИСУ;
· прочие расходы, связанные с эксплуатацией i -й локальной АИСУ.
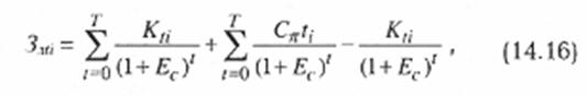
При создании i -х локальных АИСУ в некоторых случаях идет процесс высвобождения основных фондов, которые могут быть реализованы на сторону или применяться в самой производственной организации. Тогда с учетом высвобождаемых основных фондов совокупные затраты в t- мгоду (Зπ t) при инвестировании i -х локальных АИСУ можно определить следующим образом:
|
|
|

где Т – срок службы технических средств в i- йлокальной АИСУ;
– капитальные вложения на i -ю локальную АИСУ в t -м году;
– эксплуатационные (текущие) затраты на i -ю локальную АИСУ в t -м году;
– остаточная стоимость высвобождаемых основных фондов при реализации i -й локальной АИСУ в t -м году.
В действительности между инвестициями в создаваемые системы управления и получением результатов от их внедрения происходит разрыв во времени, который обуславливается тем, что их создание и реализация осуществляется в течение ряда лет. В связи с этим необходимо учитывать фактор времени. Другими словами, затраты, произведенные в разное время, имеют неодинаковую стоимость. Для их сопоставимости во времени денежные суммы приводятся к одному моменту времени с помощью коэффициента дисконтирования.
При условии вложения инвестиций в АИСУ к совокупным затратам на все локальные АИСУ добавляются затраты, связанные в взаимоувязкой локальных АИСУ в интегрированные автоматизированные информационные системы управления.