Вывод уравнения закона дисперсии для двухатомной цепочки.
Представим себе 2-х атомный одномерный кристалл на рисунке:
Он отличается от рассмотренного нами ранее кристалла только тем, что в нем чередуются атомы с массами M и m (M>m).
Если теперь в кристалле возбудить продольное колебание, распространяющееся вдоль цепочки атомов 2-х сортов. Амплитуды имеют различное значение.
Запишем уравнение волн:

И в этом случае предположим, что возвращающая сила обусловлена только взаимодействием ближайших соседей и смещение атомов не выходит за пределы упругой области, в которой применим закон Гука.
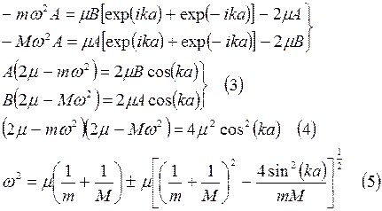
Тогда уравнение Ньютона для смещения
можно записать в виде:

Подставляя (1) в (2) получаем следующую пару уравнений







