Направления совершенствования технической подготовки производства
Применение метода сетевого планирования и управления для планирования и оперативного регулирования технической подготовки производства
Процесс создания и освоения новых товаров, как и любой другой сложный процесс, состоящий из многих стадий и этапов, выполняемых различными подразделениями фирмы должен быть тщательно скоординирован и увязан во времени. Требования к системам планирования и управления:
- оценка существующего положения;
- прогнозирование развития событий;
- разработка вариантов решений и выбор оптимального варианта действий по подготовке производства;
- контроль выполнения работ, их координация и регулирование.
График подготовки производства как элемент системы планирования и управления и в то же время как модель цикла создания и освоения новых товаров должен отражать существенные в отношении достижения конечных целей работы (этапы, фазы и т.д.). Он должен также учитывать возможные состояния комплекса соответствующих работ, сроки их выполнения, возможные нарушения этих сроков и последствия нарушений.
|
|
|
Простейшие методы планирования предполагают использование моделей типа ленточных графиков (рис. 7.3).

Рис. 7.3. Укрупненный ленточный график ОКР
Линейные графики применяются и в настоящее время для относительно простых объектов планирования подготовки производства. Однако они имеют целый ряд существенных недостатков:
- не показывают взаимосвязь отдельных работ, из-за чего трудно оценить значимость каждой отдельной работы для выполнения промежуточных и конечных целей;
- не отражают динамичность разработок;
- не позволяют периодически производить корректировки графика в связи с изменением сроков выполнения работ;
- не дают четких точек совмещения и сопряжения смежных этапов;
- не позволяют применить математически обоснованный расчет выполнения планируемого комплекса работ;
- не дают возможность оптимизировать использование имеющихся ресурсов и сроки выполнения разработки в целом.
Сетевое планирование и управление. Планирование и управление комплексом работ представляет собой сложную и, как правило, противоречивую задачу.
Оценка временных и стоимостных параметров функционирования системы, осуществляемая в рамках этой задачи, может быть произведена разными методами. Среди существующих хорошо зарекомендовал себя метод сетевого планирования и управления (СПУ).
Основным плановым документом в системе СПУ является сетевой график (сетевая модель или сеть), представляющий собой информационно-динамическую модель, в которой отражаются взаимосвязи и результаты всех работ, необходимых для достижения конечной цели разработки.
|
|
|
Простейшая одноцелевая сетевая модель на небольшом комплексе работ показаны на рис. 7.4.

Рис. 7.4. Пример сетевого графика небольшого комплекса работ
Сетевая модель изображается в виде сетевого графика (сети), состоящего из стрелок и кружков.
Стрелками в сети изображаются отдельные работы, а кружками — события. Над стрелками указывается ожидаемое время выполнения работ.
Этапы разработки и управления ходом работ с помощью сетевого графика имеют следующую последовательность основных операций:
1) составление перечня всех действий и промежуточных результатов (событий) при выполнении комплекса работ и графическое их отражение;
2) оценка времени выполнения каждой работы, а затем расчет сетевого графика для определения срока достижения поставленной цели;
3) оптимизация рассчитанных сроков и необходимых затрат;
4) оперативное управление ходом работ путем периодического контроля и анализа получаемой информации о выполнении заданий и выработка корректирующих решений.
Работа — это любые процессы (действия), приводящие к достижению определенных результатов (событий). Понятие "работа" может иметь следующие значения:
а) действительная работа — работа, требующая затрат времени и ресурсов;
б) ожидание — процесс, требующий затрат только времени (сушка, старение, релаксация и т.п.);
в) фиктивная работа, или зависимость, — изображение логической связи между работами (изображается пунктирной стрелкой, над которой не проставляется время или проставляется нуль).
События (кроме исходного) являются результатами выполненных работ. Событие не является процессом и не имеет продолжительности. Наступление события соответствует моменту начала или окончания работ (моменту формирования определенного состояния системы). Событие в сетевой модели может иметь следующие значения:
а) исходное событие — начало выполнения комплекса работ;
б) завершающее событие — достижение конечной цели комплекса работ;
в) промежуточное событие или просто событие — результат одной или нескольких входящих в него работ;
г) граничное событие — событие, являющееся общим для двух или нескольких первичных или частных сетей.
Событие для работ может иметь следующие значения:
1) начальное событие, за которым непосредственно следует данная работа;
2) конечное событие, которому непосредственно предшествует данная работа.
Путь — это любая последовательность работ в сети, в которой конечное событие каждой работы этой последовательности совпадает с начальным событием следующей за ней работы.
Путь (L) от исходного до завершающего события называется полным.
Путь от исходного до данного промежуточного события называется путем, предшествующим этому событию.
Путь, соединяющий какие-либо два события i и j, из которых ни одно не является исходным или завершающим, называется путем между этими событиями.
Параметры сетевой модели. К основным параметрам сетевой модели относятся:
а) критический путь;
б) резервы времени событий;
в) резервы времени путей и работ.
Критический путь — наибольший по продолжительности путь сетевого графика (Lкр.).
Изменение продолжительности любой работы, лежащей на критическом пути, соответственным образом меняет срок наступления завершающего события.
При планировании комплекса работ критический путь позволяет найти срок наступления завершающего события. В процессе управления ходом комплекса работ внимание управляющих сосредотачивается на главном направлении — на работах критического пути. Это позволяет наиболее целесообразно и оперативно контролировать ограниченное число работ, влияющих на срок разработки, а также лучше использовать имеющиеся ресурсы.
|
|
|
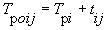
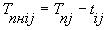
Резерв времени события — это такой промежуток времени, на который может быть отсрочено наступление этого события без нарушения сроков завершения комплекса работ в целом. Резерв времени события определяется как разность между поздним Тпi и ранним Трi сроками наступления события:
.
Поздний из допустимых сроков Тпi — это такой срок наступления события, превышение которого вызовет аналогичную задержку наступления завершающего события, то есть если событие наступило в момент Тпi, оно попало в критическую зону и последующие за ним работы должны находиться под таким же контролем, как работы критического пути.
Ранний из возможных сроков наступления события Трi — это срок, необходимый для выполнения всех работ, предшествующих данному событию. Это время находится путем выбора максимального значения из продолжительности всех путей, ведущих к данному событию.
Правило определения Тр и Тп для любого события сети:
Тр и Тп совершения события определяются по максимальному из путей Lmax, проходящих через данное событие, причем Тр равно продолжительности максимального из предшествующих данному событию путей, а Тп является разностью между продолжительностью критического пути Lкр и максимального из последующих за данным событием путей, то есть
;
,
где Си — исходное событие;
Сз — завершающее событие.
Нулевой резерв времени событий. Для этих событий допустимый срок равен наименьшему ожидаемому. Исходное (Си) и завершающее (Сз) события также имеют нулевой резерв времени.
Таким образом, наиболее простой и удобный способ выявления критического пути — это определение всех последовательно расположенных событий с нулевым резервом времени.
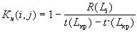
Резерв времени путей и работ. Полный резерв времени пути R(Li) — это разница между длиной критического пути t(Lкр) и длиной рассматриваемого пути t(Li):
R(Li) = t(Lкр) - t(Li).
Он показывает, насколько в сумме могут быть увеличены продолжительности всех работ, принадлежащие пути Li, то есть предельно допустимое увеличение продолжительности этого пути. Полный резерв времени пути может быть распределен между отдельными работами, находящимися на этом пути.
|
|
|
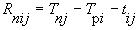
Полный резерв времени работы Rnij — это максимальный период времени, на который можно увеличить продолжительность данной работы, не изменяя при этом продолжительности критического пути:
,
где tij — продолжительность работы;
ij — начальное и конечное событие этой работы;
Tni и Tpi — соответственно поздний и ранний сроки свершения событий j и i.
Зависимый резерв времени работы.
Поскольку резерв времени пути Li может быть использован для увеличения цикла работ, находящихся на этом пути, можно сказать, что любая из работ пути Li на его участке, не совпадающем с критическим путем, обладает резервом времени. Но у этого резерва есть особенность: если мы его используем частично или целиком для увеличения цикла t(i,j) какой-либо работы (i,j), то соответственно уменьшается резерв времени у остальных работ Li. Поэтому такой резерв времени пути, на котором она находится, называется зависимым резервом времени работы (i,j) и обозначается через
.
Независимый резерв времени работы.
У отдельных работ помимо зависимого резерва времени может иметься и независимый резерв времени, обозначаемый через
. Он образуется в том случае, когда циклы работ (i,j) меньше, чем разность между наиболее ранним из возможных сроков свершения непосредственно следующего за данной работой события j и наиболее поздним из допустимых сроков свершения непосредственно предшествующего ей события i:
.
Свободный резерв времени работы (
) — это разность между ранними сроками наступления событий i и j за вычетом продолжительности работы t(i,j):
.
Свободный резерв времени работы — максимальный период времени, на который можно увеличить продолжительность или отсрочить ее начало, не изменяя при этом ранних сроков последующих работ, при условии, что начальное событие этой работы наступило в свой ранний срок.
Возможности смещения сроков начала и окончания каждой работы определяется с помощью ранних и поздних сроков наступления событий, между которыми выполняется данная работа:
- ранний срок начала работы
;
- поздний срок начала работы
;
- ранний срок окончания работы
;
- поздний срок окончания работы
.
Анализ и оптимизация сетевой модели. Первоначально разработанная сетевая модель обычно не является лучшей по срокам выполнения работ и использования ресурсов. Поэтому исходная сетевая модель подвергается анализу и оптимизации по одному из ее параметров.
Анализ позволяет оценить целесообразность структуры модели, определить степень сложности выполнения каждой работы, загрузку исполнителей работ на всех этапах выполнения комплекса работ.
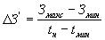
Относительная сложность соблюдения сроков выполнения работ на некритических путях характеризуется коэффициентом напряженности работ
:
,
где
— продолжительность максимального пути, проходящего через данную работу;
— продолжительность отрезка этого пути, совпадающего с критическим путем;
— продолжительность критического пути.
Чем больше коэффициент напряженности, тем сложнее выполнить работы в установленные сроки.
Используя понятие "резерва времени пути",
можно определить следующим образом:
.
При этом необходимо иметь в виду, что резерв времени R(Li) пути Li может быть распределен между отдельными работами, находящимися на указанном пути, только в пределах зависимых резервов времени этих работ.
Величина коэффициента напряженности у разных работ в сети лежит в пределах 0Ј
<1.
Для всех работ критического пути
равен единице. Величина коэффициента напряженности помогает при установлении плановых сроков выполнения работ оценить, насколько свободно можно располагать имеющимися резервами времени. Этот коэффициент дает исполнителям работ представление о степени срочности работ и позволяет определить очередность их выполнения, если они не определяются технологическими связями работ.
Для анализа сетевой модели используется коэффициент свободы
(i,j), который показывает степень свободы или независимости циклов работ, имеющих свободный резерв времени, а также показывает, во сколько раз можно увеличить длительность работы t(i, j), не влияя на сроки свершения всех событий и остальных работ сети:
.
При этом
(i, j)>1 всегда. Если
(i, j)Ј1, то это указывает на отсутствие независимого резервного времени у работы (i,j).
Оптимизация сетевых моделей по одному из ее параметров может быть осуществлена графическим или аналитическим методом. Решая задачу оптимизации сетевой модели, обычно рассчитывают минимальную продолжительность выполнения комплекса работ при ограничениях на используемые ресурсы.
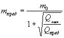
Оптимизация сетевой модели, осуществляемая аналитическим методом, заключается в том, что в ее основу положена та закономерность, при которой время выполнения любой работы (t) прямо пропорционально ее объему (Q) и обратно пропорционально числу исполнителей (m), занятых на данной работе:
.
Время, необходимое для выполнения всего комплекса работ
, определяется как сумма длительностей составляющих работ:
.
Однако рассчитанное таким образом общее время не будет минимальным, даже если количество исполнителей соответствует трудоемкости этапов.
Минимальное время для комплекса последовательно выполняемых работ и других разновидностей фрагментов сетевых моделей можно найти методом условно-эквивалентной трудоемкости.
Под условно-эквивалентной трудоемкостью понимают такую величину затрат труда, при которой численность исполнителей эквивалентной специальности распределяется между составляющими работами, обеспечивает наименьшее время их исполнения.
Условно-эквивалентная трудоемкость определяется по формуле:
,
где
— трудоемкости предшествующей и последующей работ.
Минимальное время выполнения работ будет обеспечено при следующем распределении работающих по этапам:
,
,
где
— общее количество работающих на определенных этапах.
Графический метод оптимизации сетевой модели — "время-затраты". Метод "время-затраты" заключается в установлении оптимального соотношения между продолжительностью и стоимостью работ.
Определение затрат и ресурсов, необходимых для выполнения каждой работы, производится после разработки сетевого графика.
Таким образом, материальные и трудовые ресурсы планируются на основе общей структуры сети, созданной с помощью прогнозирования временных оценок.

Рис. 7.5. График "время-затраты"
Для построения графиков "время-затраты" (рис. 7.5) для каждой работы задаются:
- минимально возможные денежные затраты
на выполнение работы (при условии выполнения работы за нормальное время
);
- минимально возможное время выполнения работы при максимальных денежных затратах
.
При определении первой пары оценок упор делается на максимальное сокращение затрат, а при определении второй — на максимальное сокращение времени.
Приближенно определить размеры дополнительных затрат, необходимых для сокращения срока выполнения работы, или решить обратную задачу возможно с помощью графика с аппроксимирующей прямой. Величина дополнительных денежных затрат, необходимых для выполнения работы в сокращенное время
, составит
.
Для каждого вида работ рассчитывается и строится свой график, характеризующийся наклоном аппроксимирующей прямой.
Используя линейную зависимость "затраты-время" для каждого вида работ, можно вычислить коэффициент возрастания затрат
на единицу времени:
.
Экономическая эффективность от внедрения СПУ определяется в первую очередь возможностями уменьшения общего цикла работ и сокращением затрат за счет более рационального использования трудовых, материальных и денежных ресурсов.
Уменьшение длительности комплекса работ обеспечивает сокращение сроков окупаемости инвестиций, более раннему выводу товара на рынок, что способствует конкурентному успеху фирмы.
Важной задачей организации производства является сокращение трудоемкости и продолжительности технологической подготовки. Наиболее эффективным направлением в этом плане является унификация и стандартизация, в частности типизация и нормализация технологических процессов, унификация технологической документации, групповые методы обработки деталей, унификация оборудования и технологической оснастки.
1. Типизация технологических процессов. Отправной точкой в разработке типовой технологии является научно обоснованная классификация деталей сборочных единиц и операций. На этой базе разрабатываются технологические процессы для групп конструктивнотехнологически подобных деталей или сборочных единиц.
Итак, первым этапом типизации технологических процессов является классификация деталей в группы по признакам конструктивнотехнологического подобия и выбор типового представителя каждой группы.
Формирование таких групп осуществляется на основе разработанного конструктивнотехнологического классификатора деталей, в котором детали вначале группируются в классы по признаку служебного назначения, затем классы делятся на подклассы по конструктивным формам деталей, что способствует единообразию их технологических маршрутов и идентичности применяемой оснастки. Дальнейшее разделение на группы по признаку общности материала обеспечивает унификацию технологического маршрута их обработки. Наконец, все детали группируются по типам в соответствии с требованиями точности их обработки. Из каждой типовой группы деталей выбирается одна конкретная деталь, имеющая наибольшее число обрабатываемых поверхностей и наибольшую трудоемкость изготовления. Эта деталь принимается в качестве базовой для разработки типовой технологии.
Вторым этапом является разработка технологического процесса по обработке базовой детали. Здесь предусматриваются методы обработки не только базовой, но и всех деталей данной группы в виде перечня и последовательности операций и переходов обработки деталей данного типа.
При составлении технологического процесса для новой детали прежде всего устанавливаются ее тип и принадлежность к какой
либо группе. Этим сразу определяется содержание технологического процесса, что значительно ускоряет его разработку и позволяет установить оптимальные режимы, так как последние уже отработаны на типовом процессе.

где Дтп — количество деталей, обрабатываемых по типовым процессам; Дод — общее количество обрабатываемых деталей;