В цифровых факсимильных аппаратах ITU-T Group 3 при сжатии черно-белых изображений (один бит на пиксель) может быть использован алгоритм Хаффмана с фиксированной таблицей (одновременный код Хаффмана). Данный алгоритм рассмотрен в рекомендации ITU-T Т.4 и поддерживается всеми цифровыми факсимильными аппаратами.
Последовательности подряд идущих черных и белых точек в нем заменяются числом, равным их количеству. А этот ряд, в свою очередь, сжимается по методу Хаффмена с фиксированной таблицей.
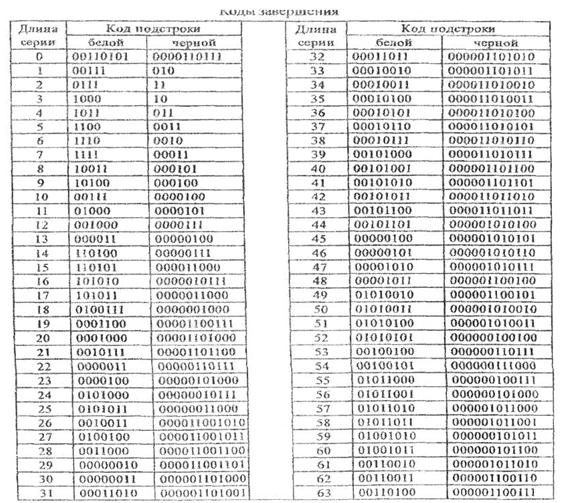
Набор идущих подряд точек изображения одного цвета называется серией, а длина этого набора точек – длиной серии.
В рис.13. и 14. заданы два вида кодов:
- завершения серий – от 0 до 63 с шагом 1 (рис.13);
- начальные (дополнительные) – от 64 до 2560 с шагом 64, которые используются, если длина серии превышает 63 (рис.14.).
Приведенные рис.13,14. построены с помощью классического алгоритма Хаффмана (отдельно для длин черных и белых серий). Значения вероятностей появления для конкретных длин серий получены путем анализа большого количества факсимильных изображений.
|
|
|
Каждая строка изображения сжимается независимо. Считается, что в факсимильном изображении существенно преобладает белый цвет, поэтому и все строки изображения начинаются с белой точки. Если строка начинается с черной точки, то считается, что строка начинается с белой серией с длиной 0 (например, последовательность длин серий 0, 3, 556, 10, … означает, что в этой строке изображения идут сначала 3 черных точки, затем 556 белых, затем 10 черных и т.д. Другая возможная запись – 3Ч, 556Б, 10Ч, … Каждая строка завершается кодом ЕОL – 000000000001).
Поскольку черные и белые серии чередуются, то реально коды белой и черной серий будут работать попеременно.
Признаком окончания факсимильной страницы служит повторение кода ЕОL 6 раз подряд.

Рис. 13. Таблица начальных кодов
Рис.14. Таблица кодов завершения






