Плотность вероятностей j (х, у) обладает свойствами, аналогичными свойствам плотности вероятности одномерной случайной величины:
1. Плотность вероятности двумерной случайной величины есть неотрицательная функция, т.е. j(x,y) ³ 0.
Свойство вытекает из определения плотности вероятности как предела отношения (см. 12, лекция 9) двух неотрицательных величин, ибо функция распределения F { x, y) – неубывающая функция по каждому аргументу.
2. Вероятность попадания непрерывной двумерной величины (X, Y) в область D равна
(1)
Поясним геометрически формулу (1). Подобно тому, как для одномерной случайной величины X вводится понятие «элемент вероятности», равный j(x) dx, для двумерной случайной величины (X, Y) вводится также понятие «элемент вероятности», равный j(x, y) dxdy. Он представляет (с точностью до бесконечно малых более высоких порядков) вероятность попадания случайной точки (X, Y) в элементарный прямоугольник со сторонами dx и dy (рис.1).

Рис. 1
Эта вероятность приближенно равна объему элементарного параллелепипеда с высотой j(x, y), опирающегося на элементарный прямоугольник со сторонами dx и dy.
3. Если вероятность попадания одномерной случайной величины на отрезок [ a, b ] геометрически выражалась площадью фигуры, ограниченной сверху кривой распределения j(x) и опирающейся на отрезок [ a, b ], и аналитически выражалась интегралом
, то вероятность попадания двумерной случайной величины в область D на плоскости Оху геометрически изображается объемом цилиндрического тела, ограниченного сверху поверхностью распределения j(x, y) и опирающегося на область D, а аналитически – двойным интегралом (1).
4. Функция распределения непрерывной двумерной случайной величины может быть выражена через ее плотность вероятности по формуле
(2)
Функция распределения F (x, y) есть вероятность попадания в бесконечный квадрант D, который можно рассматривать как прямоугольник, ограниченный абсциссами -¥ и х и ординатами -¥ и у. Поэтому в соответствии с (1)

5. Двойной несобственный интеграл в бесконечных пределах от плотности вероятности двумерной случайной величины равен единице.
6.
(3)
Несобственный интеграл (3) есть вероятность попадания во всю плоскость Оху, т.е. вероятность достоверного события, равная 1. Это означает, что полный объем тела, ограниченного поверхностью распределения и плоскостью Оху, равен 1.
Зная плотность вероятности двумерной случайной величины (X, У), можно найти функции распределения и плотности вероятностей ее одномерных составляющих X и Y.
Так как в соответствии с (7) предыдущей лекции F (x,+¥) = F 1(x) и F (+¥, y) = F 2(y), то взяв в формулах (2) соответственно y = +¥ и x = +¥, получим функции распределения одномерных случайных величин X и Y

(4)
Дифференцируя функции распределения F 1(x) и F 2(y) соответственно по аргументам x и y, получим плотности вероятности одномерных случайных величин X и Y

(5)
т.е. несобственный интеграл в бесконечных пределах от совместной плотности j(x, y) двумерной случайной величины по аргументу x дает плотность вероятности j2(y), а по аргументу у — плотность вероятности j1(x).
Замечание. Если имеется кривая распределения j(x) одномерной случайной величины X, то конкретное значение ее плотности вероятности в данной точке х определяется геометрически ординатой кривой j(x). Если имеется поверхность распределения j(x, y) двумерной случайной величины (X, Y), то конкретное значение ее совместной плотности в данной точке (х, у) определяется геометрически аппликатой по поверхности j(x, y). В этом случае конкретное значение плотности вероятности j1(x) одномерной составляющей X в данной точке х, в соответствии с (4), определится геометрически площадью сечения поверхности j(x, y) плоскостью X = х, параллельной координатной плоскости Oyz и отсекающей на оси Ох отрезок х. Аналогично конкретное значение плотности j2(y) одномерной составляющей Y в данной точке y есть площадь сечения поверхности j(x, y) плоскостью Y = y, параллельной координатной плоскости Oxz и отсекающей на оси Оу отрезок у (см. рис. 2, на котором значение j2(y) при данном y представляет площадь сечения, равную s).
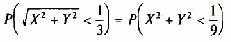
Задача 1 Двумерная случайная величина распределена равномерно в круге радиуса R = 1 (рис. 2). Определить: а) выражение совместной плотности и функции распределения двумерной случайной величины (X, Y); б) плотности вероятности и функции распределения одномерных составляющих X и Y; в) вероятность того, что расстояние от точки (X, Y)до начала координат будет меньше 1/3.


Рис. 2 Рис. 3 Рис. 4
Решение.
а) по условию

Постоянную С можно найти из соотношения (3)

Проще это сделать, исходя из геометрического смысла соотношения (3), означающего, что объем тела, ограниченного поверхностью распределения j(x,y) и плоскостью Охy, равен 1. В данном случае, это объем цилиндра с площадью основания p R 2 = p*12 = p и высотой С (рис. 4), равный p* C = 1, откуда C = 1/p. Следовательно
1/p, если х2 +у2 £ 1
j(х, у) =
0, если х2 +у2 > 1.
Найдем функцию распределения F (x, y) по формуле (2):
(6)
Очевидно, что этот интеграл с точностью до множителя 1/p совпадает с площадью области D – области пересечения круга х 2 + у 2 £ 1 с бесконечным квадрантом левее и ниже точки М (х, у)(рис. 5).

Рис.5 Рис.6
Для различных x и y можно по формуле (2) посчитать значения функции распределения двумерной случайной величины. Отметим очевидное, что при х £ –1, –¥ < y < +¥, F (x, y) = 0, так как в этом случае область D — пустая, а при х > 1, у > 1, F (х, у) = 1, так как при этом область D полностью совпадает с кругом х 2 + у 2 £ 1, на котором совместная плотность (x,y) отлична от нуля;
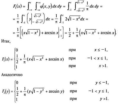
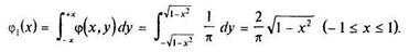
б) Найдем функции распределения одномерных составляющих X и Y. По формуле (4) при –1 < x £ 1 имеем

Найдем плотности вероятности одномерных составляющих X и Y. По формуле (4) имеем

График плотности j1(х) показан на рис. 6.
Аналогично

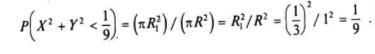
Искомую вероятность

можно найти по формуле (1)
Р (Х 2 + Y 2 <1/9) =
,
но проще посчитать, используя понятие геометрической вероятности
