Порядок проведения занятия
Контрольные вопросы
1. Приведите определение внутриличностного конфликта.
2. Перечислите особенности внутриличностных конфликтов.
3. Перечислите основные психологические концепции внутриличностных конфликтов.
4. В чем состоит основная суть взглядов З. Фрейда на природу внутриличностных конфликтов?
5. В чем основная суть комплекса неполноценности А. Адлера?
6. В чем основная суть учения К. Юнга о природе внутриличностных конфликтов?
7. В чем основная суть «экзистенциальной дихотомии» Э. Фромма?
8. Перечислите основные типы внутриличностных конфликтов по К. Левину.
9. Перечислите формы проявления внутриличностных конфликтов.
10. Перечислите основные способы разрешения внутриличностных конфликтов.
Занятие 8.1. Практическое занятие по теме «Самооценка личности методом тестирования»
Цель занятия. Закрепление знаний студентов по основным проблемам теории внутриличностных конфликтов, развитие навыков самооценки личности и формирование умений анализа полученных результатов тестирования и выработки программы самосовершенствования и самокоррекции поведения.
|
|
|
Подготовительный этап. За одну-две недели студенты получают установку на проведение занятия в форме тестирования в целях самооценки личности. Им сообщаются тема и цели занятия. Даются указания на самостоятельное изучение литературы и уяснение основных понятий: «Внутриличностный конфликт», «Типы внутриличностных конфликтов», «Формы проявления внутриличностных конфликтов», «Способы разрешения внутриличностных конфликтов».
В ходе занятия. Студентам предлагается пройти представленные ниже тесты. Преподаватель организует обсуждение результатов тестирования и оказывает методическую помощь в выработке программы самосовершенствования и самокоррекции поведения.
Назначение теста. Выявить отдельные черты характера личности.
Данный тест является модифицированным упрощенным вариантом 16-факторного опросника, разработанного американским психологом Раймондом Бернаром Кэттелом и предназначенного для выявления обобщенных исходных черт личности – факторов, входящих в ее структуру и являющихся причинами выступающих на поверхность реакций человека.
Он более прост в обработке и интерпретации, хотя не дает такого представления о личности, как классический вариант (16 РЕ).
Инструкция. Вам предлагается выбрать один из вариантов ответа на каждый вопрос («а», «б», «в»).
Читая вопросы, долго над ними не задумывайтесь, старайтесь представить всю ситуацию в целом и оценить, насколько она для вас типична.
Во всех вопросах ответ «б» соответствует случаям, в которых вы не можете четко ответить или же когда оба противоположных варианта одинаково приемлемы для вас. Старайтесь, однако, не злоупотреблять такими ответами.
|
|
|
Помните, что нет «неправильных» или «правильных» ответов – каждый человек имеет право на собственное мнение.
1. Я вполне мог бы жить один, вдали от людей:
а) да;
б) иногда;
в) нет.
2. Иногда я неважно себя чувствую без особой причины:
а) да;
б) не знаю;
в) нет.
3. Читая о каком-либо происшествии, я интересуюсь всеми подробностями:
а) да;
б) иногда;
в) редко.
4. Когда друзья подшучивают надо мной, я обычно смеюсь вместе с ними и совсем не обижаюсь:
а) верно;
б) не знаю;
в) неверно.
5. То, что в некоторой степени отвлекает мое внимание:
а) раздражает меня;
б) нечто среднее;
в) не беспокоит меня совершенно.
6. Мне нравится друг:
а) интересы которого имеют деловой и практический характер;
б) не знаю;
в) который отличается глубоко продуманными взглядами на жизнь.
7. На предприятии мне было интереснее:
а) работать с машинами и механизмами и участвовать в основном производстве;
б) трудно сказать;
в) беседовать с людьми, заниматься общественной работой.
8. У меня всегда хватает энергии, когда мне это необходимо:
а) да;
б) трудно сказать;
в) нет.
9. Я скорее раскрыл бы свои сокровенные мысли:
а) моим хорошим друзьям;
б) не знаю;
в) в своем дневнике.
10. Я могу спокойно слушать, как другие люди высказывают идеи, противоположные тем, в которые я твердо верю:
а) верно;
б) затрудняюсь ответить;
в) неверно.
11. Я настолько осторожен и практичен, что со мной случается меньше неожиданностей, чем с другими людьми:
а) да;
б) трудно сказать;
в) нет.
12. Я думаю, что говорю неправду реже, чем большинство людей:
а) верно;
б) затрудняюсь ответить;
в) неверно.
13. Я предпочел бы скорее работать:
а) в учреждении, где мне пришлось бы руководить людьми и быть среди них;
б) затрудняюсь ответить;
в) архитектором.
14. То, что я делаю, у меня не получается:
а) редко;
б) нечто среднее;
в) часто.
15. Даже если мне говорят, что мои идеи неосуществимы, это меня не останавливает:
а) верно;
б) не знаю;
в) неверно.
16. Я стараюсь смеяться над шутками не так громко, как это делает большинство людей:
а) верно;
б) не знаю;
в) неверно.
17. Усилия, затраченные на составление планов:
а) никогда не лишние;
б) трудно сказать;
в) не стоят этого.
18. Мне больше нравится работать с людьми изысканными, утонченными, чем с людьми откровенными и прямолинейными:
а) да;
б) не знаю;
в) нет.
19. Мне приятно сделать человеку одолжение, согласившись назначить встречу с ним на время, удобное для него, даже если это немного неудобно для меня:
а) да;
б) иногда;
в) нет.
20. Когда ложусь спать, я:
а) засыпаю быстро;
б) нечто среднее;
в) засыпаю с трудом.
21. Работая в магазине, я хотел бы:
а) оформлять витрины;
б) не знаю;
в) быть кассиром.
22. Я предпочитаю:
а) вопросы, касающиеся меня, решать сам;
б) затрудняюсь ответить;
в) советуюсь со своими друзьями.
23. Аккуратные, требовательные люди не уживаются со мной:
а) верно;
б) иногда;
в) неверно.
24. Если люди обо мне плохо думают, то я не стараюсь их переубедить, а продолжаю поступать по-своему:
а) да;
б) трудно сказать;
в) нет.
25. Бывает, что я все утро не хочу ни с кем разговаривать:
а) часто;
б) иногда;
в) никогда.
26. Мне бывает скучно:
а) часто;
б) иногда;
в) никогда.
27. Я думаю, что даже самые драматические события через год уже не оставят в моей душе никаких следов:
а) да;
б) трудно сказать;
в) неверно.
28. Я думаю, что интереснее быть:
а) ботаником и работать с растениями;
б) не знаю;
в) страховым агентом.
29. Когда вопрос, который надо решить, очень труден и требует от меня много усилий, я стараюсь:
а) заняться другим вопросом;
б) затрудняюсь ответить;
в) еще раз попытаюсь решить этот вопрос.
30. Ночью мне снятся фантастические или нелепые сны:
а) да;
б) иногда;
в) нет.
Данный тест не может полностью дать представление о вашем характере и не претендует на абсолютную достоверность.
|
|
|
Однако он позволяет узнать некоторые черты: общительность, эмоциональную устойчивость, добросовестность, дисциплинированность.
Обработка данных
Ответ «б» всегда оценивается в 1 балл.
С 1-го по 7-й и с 23-го по 30-й вопросы:
«а» – приносит 0 баллов;
«в» – 2 балла.
С 8-го по 22-й вопросы:
«а» – 2 балла;
«в» – 0 баллов.
Ключ к тесту и оценка результатов
1. Сумма баллов, полученных при ответах на вопросы 1, 7, 9, 13, 19, 25 говорит о вашей общительности или замкнутости.
Если сумма баллов не превысит 8, то вы, скорее всего, не очень нуждаетесь в обществе других и по натуре, как говорят, не контактны. Вполне возможно, что вы скептически относитесь к знакомым и довольно строго судите других. А это, как известно, ограничивает круг близких друзей, с которыми легко быть откровенным.
Если же сумма баллов выше 8, то вы общительны и добродушны, открыты и сердечны. Вам свойственны естественность и непринужденность в поведении, внимательность и мягкосердечность по отношению к людям. Вы не очень боитесь критики. Выбирая специальность, на это следует обратить внимание, вам можно рекомендовать профессию типа «человек – человек», требующую постоянного общения с людьми, коллективных действий.
2. Сумма баллов, полученная при ответах на вопросы 2, 5, 8, 14, 20, 26, говорит о вашей эмоциональной устойчивости или неустойчивости.
Если сумма меньше 7, вы, скорее всего, подвержены чувствам и склонны к быстрой смене настроения. Высокие оценки свойственны людям выдержанным, спокойным, чей взгляд на вещи более реалистичен.
3. Если сумма, полученная при ответах на вопросы 3, 6, 15, 18, 21, 27, меньше 7, вы человек практичный и добросовестный, легко следуете общепринятым нормам, правилам поведения. Хотя, быть может, вам свойственна некоторая ограниченность, «заземленность», излишняя внимательность к мелочам.
При высоких оценках – у вас богатое воображение и, как следствие, высокий творческий потенциал. Старайтесь все же не «витать в облаках». Это часто приводит к житейским неудачам.
|
|
|
4. Если сумма баллов при ответах на вопросы 4, 10, 16, 22, 24 и 28 превышает 5, вам, вероятно, свойственны расчетливость и осмотрительность. Вы достаточно проницательны, умеете разумно и «без сантиментов» оценивать события и окружающих людей.
При низких оценках, вполне возможно, вам свойственны прямолинейность, естественность и непосредственность в поведении.
5. При сумме ответов на вопросы 11, 12, 17, 23, 29 и 30 меньше 6 у вас, похоже, не всегда хорошо обстоят дела с самоконтролем и с дисциплиной. Обычно таким людям, как говорят психологи, присуща внутренняя конфликтность.
При оценке выше 6 баллов вы, наверное, целеустремленный человек, хорошо контролируете свои эмоции и поведение, для вас не представляет особого труда придерживаться общепринятых правил.
Тест 8.2. Самооценка личности (1-й вариант)
Инструкция. Каждый человек имеет определенные представления об идеале и наиболее ценных свойствах личности. На эти качества люди ориентируются в процессе самовоспитания. Какие качества вы наиболее цените в людях? У разных людей эти представления неодинаковы, а потому не совпадают результаты самовоспитания. Какие же представления об идеале имеются у вас? Разобраться в этом вам поможет следующее задание, которое выполняется в два этапа.
I этап
1. Разделите лист бумаги на четыре равные части, обозначьте каждую часть римскими цифрами I, II, III, IV.
2. Даны четыре набора слов, характеризующих положительные качества людей. Вы должны в каждом наборе качеств выделить те, которые наиболее значимы и ценны для вас лично, которым вы отдаете предпочтение перед другими. Какие это качества и сколько – каждый решает сам.
3. Внимательно прочитайте слова первого набора качеств. Выпишите в столбик наиболее ценные для вас качества вместе с их номерами, стоящими слева. Теперь приступайте ко второму набору качеств – и так до самого конца. В итоге вы должны получить четыре набора идеальных качеств.
Чтобы создать условия для одинакового понимания качеств всеми участниками психологического обследования, приводим толкование этих качеств.
Набор качеств личности
I. Межличностные отношения, общение
1. Вежливость – соблюдение правил приличия, учтивость.
2. Заботливость – мысли или действия, направленные к благополучию людей; попечение, уход.
3. Искренность – выражение подлинных чувств, правдивость, откровенность.
4. Коллективизм – способность поддерживать общую работу, общие интересы, коллективное начало.
5. Отзывчивость – готовность отзываться на чужие нужды.
6. Радушие – сердечное, ласковое отношение, соединенное с гостеприимством, с готовностью чем-нибудь услужить.
7. Сочувствие – отзывчивое, участливое отношение к переживаниям, несчастью людей.
8. Тактичность – чувство меры, создающее умение вести себя в обществе, не задевать достоинства людей.
9. Терпимость – умение без вражды относиться к чужому мнению, характеру, привычкам.
10. Чуткость – отзывчивость, сочувствие, способность легко понимать людей.
11. Доброжелательность – желание добра людям, готовность содействовать их благополучию.
12. Приветливость – способность выражать чувство личной приязни.
13. Обаятельность – способность очаровывать, притягивать к себе.
14. Общительность – способность легко входить в общение.
15. Обязательность – верность слову, долгу, обещанию.
16. Ответственность – необходимость, обязанность отвечать за свои поступки и действия.
17. Откровенность – открытость, доступность для людей.
18. Справедливость – объективная оценка людей в соответствии с истиной.
19. Совместимость – умение соединять свои усилия с активностью других при решении общих задач.
20. Требовательность – строгость, ожидание от людей выполнения своих обязанностей, долга.
II. Поведение
1. Активность – проявление заинтересованного отношения к окружающему миру и самому себе, к делам коллектива, энергичные поступки и действия.
2. Гордость – чувство собственного достоинства.
3. Добродушие – мягкость характера, расположение к людям.
4. Порядочность – честность, неспособность совершать подлые и антиобщественные поступки.
5. Смелость – способность принимать и осуществлять свои решения без страха.
6. Твердость – умение настоять на своем, не поддаваться давлению, непоколебимость, устойчивость.
7. Уверенность – вера в правильность поступков, отсутствие колебаний, сомнений.
8. Честность – прямота, искренность в отношениях и поступках.
9. Энергичность – решительность, активность поступков и действий.
10. Энтузиазм – сильное воодушевление, душевный подъем.
11. Добросовестность – честное выполнение своих обязанностей.
12. Инициативность – стремление к новым формам деятельности.
13. Интеллигентность – высокая культура, образованность, эрудиция.
14. Настойчивость – упорство в достижении целей.
15. Решительность – непреклонность, твердость в поступках, способность быстро принимать решения, преодолевая внутренние колебания.
16. Принципиальность – умение придерживаться твердых принципов, убеждений, взглядов на вещи и события.
17. Самокритичность – стремление оценить свое поведение, умение вскрывать свои ошибки и недостатки.
18. Самостоятельность – способность осуществлять действия без чужой помощи, своими силами.
19. Уравновешенность – ровный, спокойный характер, поведение.
20. Целеустремленность – наличие ясной цели, стремление ее достичь.
III. Деятельность
1. Вдумчивость – глубокое проникновение в суть дела.
2. Деловитость – знание дела, предприимчивость, толковость.
3. Мастерство – высокое искусство в какой-либо области.
4. Понятливость – умение понять смысл, сообразительность.
5. Скорость – стремительность поступков и действий, быстрота.
6. Собранность – сосредоточенность, подтянутость.
7. Точность – умение действовать как задано, в соответствии с образцом.
8. Трудолюбие – любовь к труду, общественно-полезной деятельности, требующей напряжения.
9. Увлеченность – умение целиком отдаваться какому-либо делу.
10. Усидчивость – усердие в том, что требует длительного времени и терпения.
11. Аккуратность – соблюдение во всем порядка, тщательность работы, исполнительность.
12. Внимательность – сосредоточенность на выполняемой деятельности.
13. Дальновидность – прозорливость, способность предвидеть последствия, прогнозировать будущее.
14. Дисциплинированность – привычка к дисциплине, сознание долга перед обществом.
15. Исполнительность – старательность, хорошее выполнение заданий.
16. Любознательность – пытливость ума, склонность к приобретению новых знаний.
17. Находчивость – способность быстро находить выход из затруднительных положений.
18. Последовательность – умение выполнять задания, действия в строгом порядке, логически, стройно.
19. Работоспособность – способность много и продуктивно работать.
20. Скрупулезность – точность до мелочей, особая тщательность.
IV. Переживания, чувства
1. Бодрость – ощущение полноты силы, деятельности, энергии.
2. Бесстрашие – отсутствие страха, храбрость.
3. Веселость – беззаботно-радостное состояние.
4. Душевность – искреннее дружелюбие, расположенность к людям.
5. Милосердие – готовность помочь, простить из сострадания, человеколюбия.
6. Нежность – проявление любви, ласки.
7. Свободолюбие – любовь и стремление к свободе, независимости.
8. Сердечность – задушевность, искренность в отношениях.
9. Страстность – способность целиком отдаваться увлечению.
10. Стыдливость – способность испытывать чувство стыда.
11. Взволнованность – мера переживания, душевное беспокойство.
12. Восторженность – большой подъем чувств, восторг, восхищение.
13. Жалостливость – склонность к чувству жалости, состраданию.
14. Жизнерадостность – постоянство чувства радости, отсутствие уныния.
15. Любвеобильность – способность сильно и многих любить.
16. Оптимистичность – жизнерадостное мироощущение, вера в успех.
17. Сдержанность – способность удержать себя от проявления чувств.
18. Удовлетворенность – ощущение удовольствия от исполнения желаний.
19. Хладнокровность – способность сохранять спокойствие и выдержку.
20. Чувствительность – легкость возникновения переживаний, чувств, повышенная восприимчивость к воздействиям извне.
II этап
Внимательно рассмотрите качества личности, выписанные вами из первого набора, и найдите среди них такие, которыми вы обладаете реально. Обведите цифры при них кружком. Теперь переходите ко второму набору качеств, затем к третьему и четвертому.
Обработка
1. Подсчитайте, сколько вы нашли у себя реальных качеств (Р).
П = Р/И x 100 %.
2. Подсчитайте количество идеальных качеств, выписанных вами (И), а затем вычислите их процентное отношение.
Результаты сопоставьте с оценочной шкалой (см. табл. 8.5).
Тест 8.2. Самооценка личности (2-й вариант)
Инструкция
1. Внимательно прочтите набор из 20 качеств личности: аккуратность, жизнерадостность, доброта, настойчивость, ум, правдивость, принципиальность, самостоятельность, скромность, общительность, гордость, добросовестность, равнодушие, лень, зазнайство, трусость, жадность, подозрительность, эгоизм, нахальство.
2. В 1-й столбик «идеал» под номером (рангом) 1 запишите то качество из вышеуказанных, которое вы более всего цените в людях, под номером 2 – то качество, которое цените чуть меньше и т. д., в порядке убывания значимости. Под номером 13 укажите то качество – недостаток – из вышеуказанных, которое вы легче всего могли бы простить людям (ведь, как известно, идеальных людей не бывает, у каждого есть недостатки, но какие-то вы можете простить, а какие-то – нет), под номером 14 – тот недостаток, который простить труднее и т. д., под номером 20 – самое отвратительное, с вашей точки зрения, качество людей.
3. Во 2-й столбик «Я» под номером (рангом) 1 запишите то качество из вышеуказанных, которое лично у вас сильнее всего развито (независимо от того, достоинство это или недостаток), под номером 2 – то качество, которое развито у вас чуть меньше и т. д., в убывающем порядке, под последними номерами – те качества, которые у вас менее развиты или отсутствуют.
Обработка данных
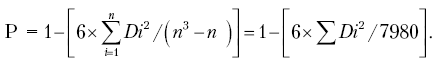
1. Подсчитываем по формуле:
(Ri1 – Ri2)2 = Di2,
где Ri1 – ранг (номер) i -го качества в 1-м столбике; Ri2 – ранг 1-го качества во 2-м столбике; Di – разность рангов 1-го качества в столбиках.
Подсчитаем все Di2, их должно быть 20. Предположим, что первое слово в 1-м столбце – ум (Ri1 = 1), а во 2-м столбике это слово находится на 5-м месте, то есть Ri2 = 5, тогда по формуле вычисляем (1 – 5)2 = 16 и так далее для всех слов по порядку (n – количество анализируемых качеств, n = 20).
2. Затем полученные Di2 складываем, умножаем на 6, делим произведение на (n 3 – n) = (203 – 20) = 79 80 и, наконец, от 1 отнимаем частное, то есть находим коэффициент ранговой корреляции:

Оценка и интерпретация результатов
1. Вычисляем Di 2 по формуле:
Di2 = (Ri1 – Ri2)2,
где Ri1 – ранг (номер) i- го качества в 1-м столбике; Ri2 – ранг (номер) i- го качества во 2-м столбике; Di – разность рангов i- го количества в столбиках.
Подсчитайте все Di 2– их должно быть 20.
2. Полученный коэффициент ранговой корреляции сравниваем со шкалой (табл. 8.5).
Самооценка личности может быть адекватной, завышенной или заниженной.
Адекватная самооценка соответствует двум позициям (уровням) психодиагностической шкалы: «средней», «выше среднего».
При адекватной самооценке субъект социального взаимодействия правильно (реально) соотносит свои возможности и способности, достаточно критически относится к себе, ставит перед собой реальные цели, умеет прогнозировать адекватное отношение окружающих к результатам своей деятельности. Поведение такого субъекта в основе своей неконфликтно, в конфликте он ведет себя конструктивно. Внутриличностным конфликтам подвержен слабо.
Таблица 8.5