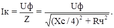
Если в исправной сети IT человек сопротивлением Rч касается фазного провода (прямое прикосновение), то ток через тело человека Iк определяется сопротивлениями Хс/4 и Rч, включенными последовательно:


Рис.6.10. Векторная диаграмма: прямое прикосновение в сети IT.
Напряжение прямого прикосновения Uч = Iк * Rч.

Если емкостное сопротивление Хс/4 велико (Хс/4>>Rч), то напряжение прямого прикосновения близко к нулю, Uч ≈ 0. Практически это имеет место в кабельной сети небольшой протяженности или в воздушной сети так как емкости таких сетей весьма незначительны.
Если, напротив, емкость сети настолько велика, что Хс/4<< Rч, то напряжение прямого прикосновения близко к фазному напряжению.
Напряжение смещения нейтрали по отношению к земле
Un = Iк * Xc/4:

При косвенном прикосновении к телу человека приложено падение напряжения на Ra, создаваемое током Iк (рис.6.11).

Рис.6.11. Косвенное прикосновение в сети IT, расчетная схема.
Полагая Xc/4 >> Ra и Rч >> Ra, можно записать:

